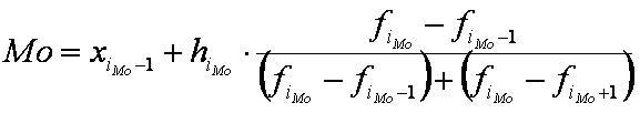
Мода интервального ряда

Материал из Циклопедии
Перейти к навигации Перейти к поиску

Мода, для интервального ряда — информация о моде интервального ряда.

Мода — числовая характеристика случайной величины, характеризующая наиболее часто встречаемое значение (пик) случайной величины.

Обозначения[править]

n — объём совокупности;

m — число интервалов;

xi-1 — нижняя граница i-ого интервала;

xi — верхняя граница i-ого интервала;

fi — частота i-ого интервала;

Mo — мода интервального ряда.

Формулы[править]

МОД11.JPG

где

МОД12.JPG

Ссылки[править]

временные ссылки

Другие формулы[править]