Коэффициент эксцесса интервального ряда

Материал из Циклопедии
Перейти к навигации Перейти к поиску

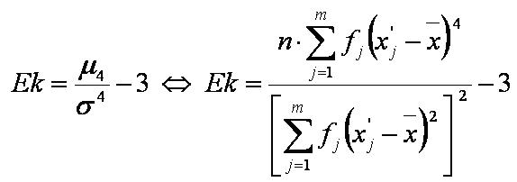
Коэффициент эксцесса, для интервального ряда — числовая характеристика случайной величины, равная разности отношения центрального момента четвёртого порядка к четвёртой степени среднеквадратического отклонения и числа три.

Обозначения[править]

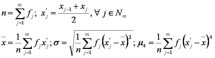
n — объём совокупности;

m — число интервалов;

xi-1 — нижняя граница i-ого интервала;

xi — верхняя граница i-ого интервала;

xi — середина i-ого интервала;

fi — частота i-ого интервала;

Невозможно разобрать выражение (SVG с запасным PNG (MathML можно включить с помощью плагина для браузера): Недопустимый ответ («Math extension cannot connect to Restbase.») от сервера «https://wikimedia.org/api/rest_v1/»:): {\displaystyle \bar x}средняя — математическое ожидание;

μ4центральный момент четвёртого порядка;

σсреднеквадратическое отклонение;

Ek — коэффициент эксцесса.

Формула[править]

ЭКС01.JPG

где

ЭКС02.JPG

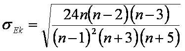
Ошибка коэффициента эксцесса.

ЭКС03.JPG

См.также[править]

Другие формулы[править]


Ссылки[править]