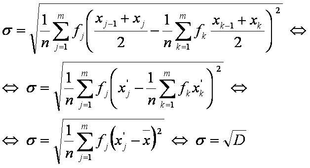
Среднеквадратическое отклонение интервального ряда

Материал из Циклопедии
Перейти к навигации Перейти к поиску

Среднеквадратическое отклонение, для интервального ряда — числовая характеристика случайной величины, равная корню из среднего квадрата отклонений от средней.

Обозначения[править]

n — объём совокупности;

m — число интервалов;

xi-1 — нижняя граница i-ого интервала;

xi — верхняя граница i-ого интервала;

xi — середина i-ого интервала;

fi — частота i-ого интервала;

средняя — математическое ожидание;

Dдисперсия;

σ — среднеквадратическое отклонение.

Формулы[править]

СКО01.JPG

где

СКО02.JPG

Ссылки[править]

временные ссылки

Другие формулы[править]