Одноканальная СМО с отказами

Материал из Циклопедии
Перейти к навигации Перейти к поиску
Математическая модель одноканальной СМО с отказами

Одноканальная СМО с отказами — это система массового обслуживания, в которой есть один канал обслуживания, но нет очереди: если заявка приходит, в момент, когда канал свободен, то она немедленно обслуживается каналом, если заявка приходит — когда канал занят, то заявка покидает систему (теряется).

Описание модели[править]

На вход одноканальной СМО поступает простейший поток заявок с интенсивностью λ.

Интенсивность простейшего потока обслуживания канала μ.

Если заявка застаёт канал свободным, она принимается на обслуживание и обслуживается каналом.

Если заявка застаёт канал занятым, то она получает отказ (покидает систему не обслуженной).

После окончания обслуживания заявки освобождается канал.

Состояние рассмотренной системы будем связывать с числом заявок, находящихся в системе.

Граф состояний[править]

СМО111.JPG

Рассмотрим множество состояний системы:

S0 – в системе нет заявки, канал свободен;

S1 – в системе имеется заявка, она обслуживается каналом.

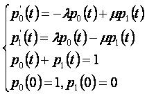
Система дифференциальных уравнений[править]

Система дифференциальных уравнений, описывающих поведение системы, имеет вид:

СМО121.JPG

Рассмотрим стационарный режим работы системы (при t→∞).

Система уравнений принимает вид:

СМО131.JPG

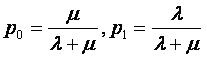
Решим систему относительно p0,p1.

СМО141.JPG

В результате получаем решение системы: СМО151.JPG

Основные характеристики системы[править]

СМО171.JPG

Другие одноканальные СМО:[править]

Литература[править]

  • Овчаров Л. А. Прикладные задачи теории массового обслуживания, «Машиностроение», М.,1969.

Ссылки[править]