Одноканальная СМО с очередью

Материал из Циклопедии
Перейти к навигации Перейти к поиску
Математическая модель одноканальной СМО с очередью

Одноканальная СМО с очередью — это система массового обслуживания, в которой есть места в очереди и если заявка приходит, в момент, когда канал занят, то она не получает немедленно отказа, а может стать в очередь и ожидать освобождения канала, который её может обслужить.

Описание модели[править]

На вход Одноканальной СМО с m-очередью поступает простейший поток заявок с интенсивностью λ.

Интенсивность простейшего потока обслуживания канала μ.

Если заявка застаёт канал свободным, то она принимается на обслуживание и обслуживается каналом. После окончания обслуживания канал освобождается.

Если вновь прибывшая заявка застаёт канал занятым, то она становится в очередь и «терпеливо» ждёт своего обслуживания.

Дисциплина очереди естественная: кто раньше пришёл, тот раньше и обслуживается. Максимальное число мест в очереди m.

Если вновь прибывшая заявка застаёт в очереди m-заявок, то она получает отказ и исключается из обслуживания.

Состояние рассмотренной системы будем связывать с числом заявок, находящихся в системе.

Граф состояний[править]

СМО211.JPG

Рассмотрим множество состояний системы:

S0 – в системе нет ни одной заявки, канал свободен;

S1 – в системе имеется одна заявка, она обслуживается каналом;

S2 – в системе имеется две заявки, одна обслуживается каналом, а другая заявка ожидает в очереди;

;

Sr – в системе имеется r-заявок, одна обслуживается каналом, а (r-1)-заявок ожидают в очереди;

Sr+1 – в системе имеется (r+1)-заявок, одна обслуживается каналом, а r-заявок ожидают в очереди;

;

Sm – в системе имеется m-заявок, одна обслуживается каналом, а (m-1)-заявок ожидают в очереди.

Sm+1 – в системе имеется (m+1)-заявок, одна обслуживается каналом, а m-заявок ожидают в очереди.

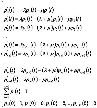
Система дифференциальных уравнений[править]

Система дифференциальных уравнений, описывающих поведение системы, имеет вид:

СМО221.JPG

Рассмотрим стационарный режим работы системы (при t→∞).

Система уравнений принимает вид:

СМО231.JPG

Суммируя в системе уравнения с первого до i-го (i=1,m+1), получаем упрощённый вид системы.

Решим систему относительно p0,p1,…,pm+1.

СМО241.PNG

В результате получаем решение системы:

СМО261.JPG

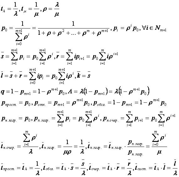
Основные характеристики системы[править]

СМО271.JPG

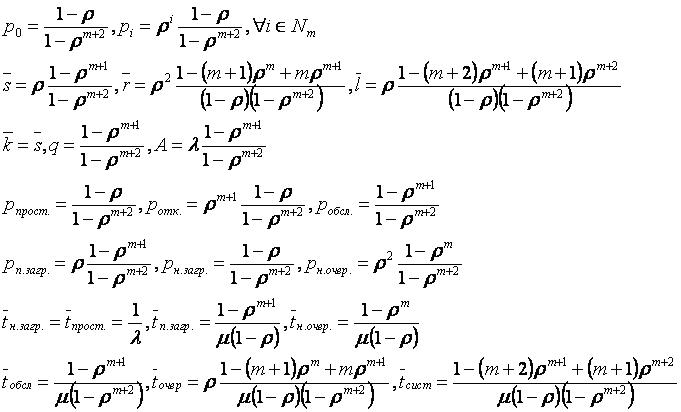
При ρ≠1 получаем

СМО281.PNG

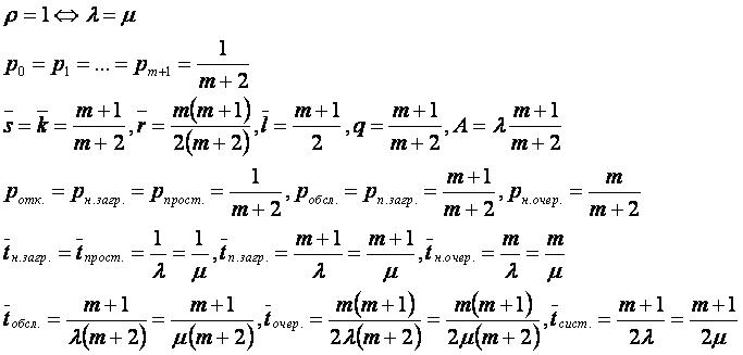
При ρ=1 получаем

СМО291.JPG

Другие одноканальные СМО:[править]

Литература[править]

  • Овчаров Л. А. Прикладные задачи теории массового обслуживания, «Машиностроение», М.,1969.

Ссылки[править]