Площадь четырёхугольника

Материал из Циклопедии
Перейти к навигации Перейти к поиску
Площади четырехугольников. Геометрия 7-9 классы. Урок 34 // MathTutor [19:24]

Площадь четырёхугольника — действительное число, характеризующее четырёхугольник в единицах измерения площади.

Для выпуклых четырёхугольников все четыре точки углов лежат в одной плоскости и для любых его (четырёхугольника) двух точек все точки отрезка принадлежат четырёхугольнику.

Обозначения[править]

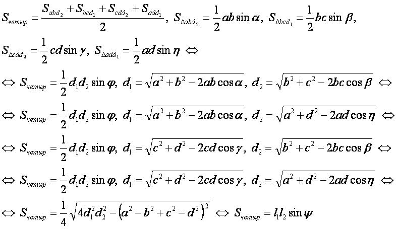
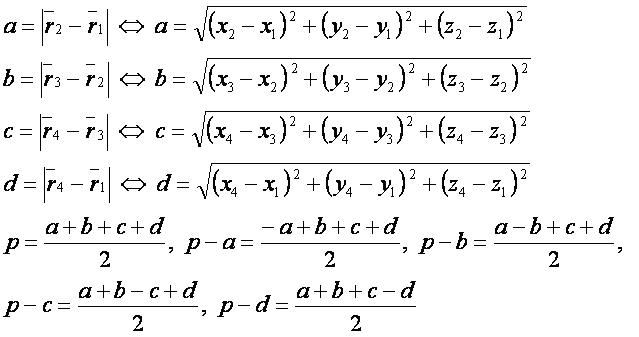
a — первая сторона;

b — вторая сторона;

c — третья сторона;

d — четвёртая сторона;

α — угол между сторонами a и b;

β — угол между сторонами b и c;

γ — угол между сторонами c и d;

η — угол между сторонами a и d;

d1 — диагональ, соединяющая вершины углов α и γ;

d2 — диагональ, соединяющая вершины углов β и η;

l1 — средняя линия, соединяющая середины сторон a и c;

l2 — средняя линия, соединяющая середины сторон b и d;

φ — угол (острый) между диагоналями;

ψ — угол (острый) между средними линиями;

p — полупериметр четырёхугольника;

SΔ — площадь треугольника;

Sчетыр — площадь четырёхугольника.

Формулы[править]

ПЧЕ00.JPG

Формулы в векторной и координатной форме[править]

Обозначения:

 — радиус-вектор первой точки;

 — радиус-вектор второй точки;

 — радиус-вектор третьей точки;

 — радиус-вектор четвёртой точки;

 — нормаль к плоскости, проходящей через три заданные точки;

SΔ — площадь треугольника, построенного по трём заданным точкам;

Sчетыр — площадь четырёхугольника, построенного по четырём заданным точкам.

ПЧЕ01.JPG

где

ПЧЕ02.JPG

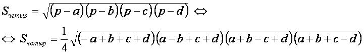
Формула Брахмагупты[править]

Для четырёхугольника, вокруг которых можно описать окружность и у которого порядок следования вершин 1, 2, 3, 4, для нахождения их площади можно использовать формулу Брахмагупты.

Обозначения:

a — длина стороны четырёхугольника, расположенной между первой и второй точками;

b — длина стороны четырёхугольника, расположенной между второй и третьей точками;

c — длина стороны четырёхугольника, расположенной между третьей и четвёртой точками;

d — длина стороны четырёхугольника, расположенной между первой и четвёртой точками;

p — полупериметр четырёхугольника, построенного по четырём заданным точкам.

ПЧЕ03.JPG

где

ПЧЕ04.JPG

  • Когда одна из сторон четырёхугольника стремится к нулю, тогда формула Брахмагупты превращается в формулу Герона для площади треугольника.
  • Когда четырёхугольник является прямоугольником и a≠b, тогда формула Брахмагупты превращается в формулу площади прямоугольника, Sпрямоуг=ab, где c=a, d=b, p=a+b.
  • Когда четырёхугольник является равнобедренной трапецией и b=d, тогда формула Брахмагупты превращается в формулу площади трапеции, Sравн.трап=h(a+c)/2, где h2=(p-a)(p-c), p-b=(a+c)/2.

Один из методов определения площади четырехугольника состоит в разбиении фигуры на два треугольника с помощью диагонали и в вычислении суммы площадей образовавшихся треугольников.

См.также[править]

Литература[править]

  • Бронштейн М. Н., Семендяев К. А., Справочник по математике — М., 1956, стр.167.

Другие многоугольники[править]