Площадь треугольника

Материал из Циклопедии
Перейти к навигации Перейти к поиску
Треугольник
Математика. Урок 8. Площадь треугольника // novykrug [5:54]

Площадь треугольника — положительное действительное число, характеризующее треугольник в единицах измерения площади.

Обозначения[править]

a — первая сторона;

b — вторая сторона;

c — третья сторона;

ha — высота, опущенная на сторону a;

hb — высота, опущенная на сторону b;

hc — высота, опущенная на сторону c;

α — угол напротив стороны a;

β — угол напротив стороны b;

γ — угол напротив стороны c;

p — полупериметр треугольника;

r — радиус вписанной окружности;

R — радиус описанной окружности;

SΔ — площадь треугольника.

Формулы[править]

ПТР00.JPG

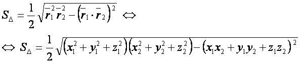
Формулы в векторной и координатной форме[править]

— радиус-вектор первой точки;

— радиус-вектор второй точки;

— радиус-вектор третьей точки;

Невозможно разобрать выражение (Ошибка преобразования. Сервер («https://wikimedia.org/api/rest_») сообщил: «Cannot get mml. Server problem.»): {\displaystyle {\bar {n}}=(A,B,C)} — нормаль к плоскости, проходящей через заданные точки;

p — отклонение начала координат от плоскости, проходящей через заданные точки;

SΔ — площадь треугольника, построенного по трём заданным точкам.

ПТР01.PNG

  • Формула с параметром p применима, только когда p≠0.

Если третью точку взять в начале координат, то можно применять следующую формулу:

ПТР02.PNG

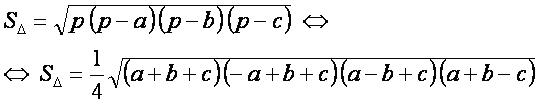
Формула Герона[править]

a — длина стороны треугольника, расположенной между второй и третьей точками;

b — длина стороны треугольника, расположенной между первой и третьей точками;

c — длина стороны треугольника, расположенной между первой и второй точками;

p — полупериметр треугольника, построенного по трём заданным точкам.

ПТР03.JPG

где

ПТР04.JPG

Другие многоугольники:[править]


См. также[править]

Литература[править]

  • Корн Г., Корн Т. Справочник по математике для научных работников и инженеров — М.: Наука, 1970. стр.75.
  • Бронштейн И. Н., Семендяев К. А., Справочник по математике — М., 1956, стр.166, стр.187.

Ссылки[править]