СМО n-канальная без очереди и с частичной взаимопомощью
СМО n-канальная без очереди и с частичной взаимопомощью — это система массового обслуживания, в которой всегда есть взаимопомощь между каналами обслуживания: если заявка приходит, в момент, когда все каналы свободны, то она немедленно обслуживается всеми каналами, если заявка приходит - когда уже обслуживаются заявки числом меньше, чем число каналов, то она немедленно обслуживается частью каналов, в остальных случаях заявка покидает систему (теряется). Максимальное число заявок в системе равно числу каналов.
Обозначения[править]
n – число каналов обслуживания;
m – число мест в очереди;
l – число каналов обслуживания в группе;
h – число полноценных групп каналов обслуживания, h=[n/l];
λ – интенсивность простейшего потока заявок;
μ – интенсивность простейшего потока обслуживания.
Описание модели[править]
На вход n-канальной СМО поступает простейший поток заявок с интенсивностью λ.
Интенсивность простейшего потока обслуживания каждого канала μ.
Интенсивность потока обслуживания с частичной взаимопомощью между каналами равна lμ.
Если заявка застаёт все каналы свободными, она принимается на обслуживание и обслуживается группой из l-каналов одновременно, при этом производительность увеличивается в l-раз.
После окончания обслуживания все каналы освобождаются одновременно.
Если вновь прибывшая заявка застаёт в системе одну заявку, то она принимается на обслуживание: l-каналов обслуживает первую заявку, другие l-каналов приступает к обслуживанию второй заявки. Разделение групп совершенно произвольное.
Если система обслуживает k-заявок и k<h, то вновь прибывшая заявка принимается на обслуживание l-каналами из оставшихся.
Если система обслуживает k-заявок и hl<=kl<n, то вновь прибывшая заявка принимается на обслуживание и n-каналов распределяется равномерно между заявками.
Попавшая на обслуживание заявка обслуживается до конца (заявки терпеливые).
Если обслуживание какой-либо заявки окончено, то освободившаяся группа каналов присоединяется к обслуживанию остальных заявок, находящихся в системе.
Если система обслуживает n-заявок (k=n), то каждая из них обслуживается одним каналом, а вновь прибывшая заявка встаёт в очередь и ожидает освобождения хотя бы одного из каналов.
Состояние рассмотренной системы будем связывать с числом заявок, находящихся в системе.
Граф состояний[править]
М/М/n/0 – СМО n-канальная без очереди и с частичной взаимопомощью.
Рассмотрим множество состояний системы:
S0 – в системе нет ни одной заявки, все каналы свободны;
S1 – в системе имеется 1-заявка, она обслуживается всеми n-каналами;
S2 – в системе имеется 2-заявки, они обслуживаются n-каналами;
…;
Sh-1 – в системе имеется h-1-заявок, они обслуживаются (h-1)l-каналами;
Sh – в системе имеется h-заявок, они обслуживаются hl-каналами;
Sh+1 – в системе имеется h+1-заявок, они обслуживаются n-каналами.
…;
Sn-2 – в системе имеется n-2-заявок, они обслуживаются n-каналами;
Sn-1 – в системе имеется n-1-заявок, они обслуживаются n-каналами;
Sn – в системе имеется n-заявок, они обслуживаются n-каналами.
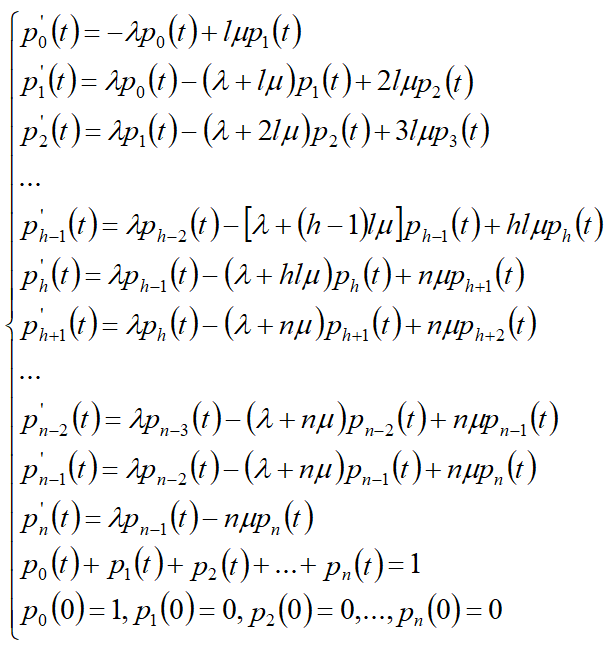
Система дифференциальных уравнений[править]
Система дифференциальных уравнений, описывающих поведение системы, имеет вид:
Рассмотрим стационарный режим работы системы (при t→∞).
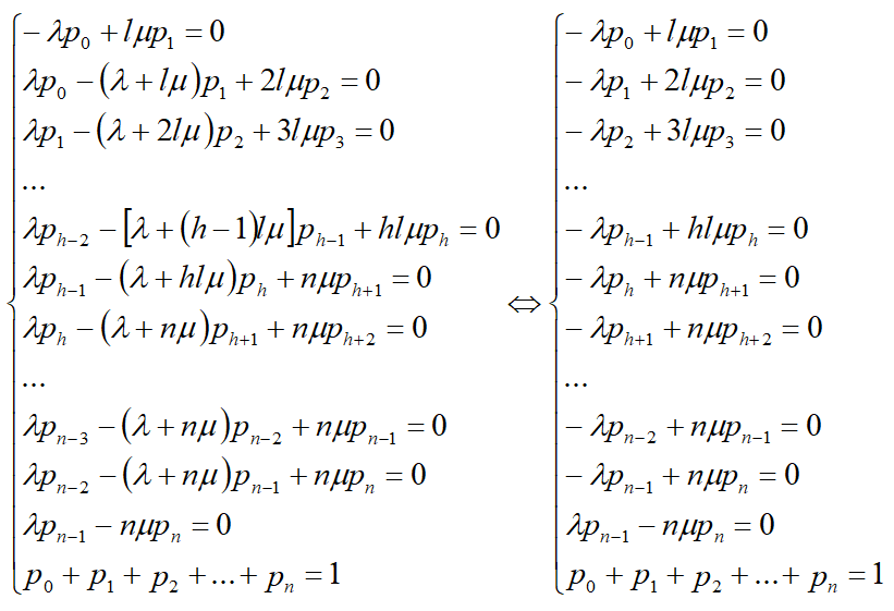
Система линейных уравнений[править]
Система уравнений принимает вид:
Суммируя в системе уравнения с первого до i-го (i=1,n), получаем упрощённый вид системы.
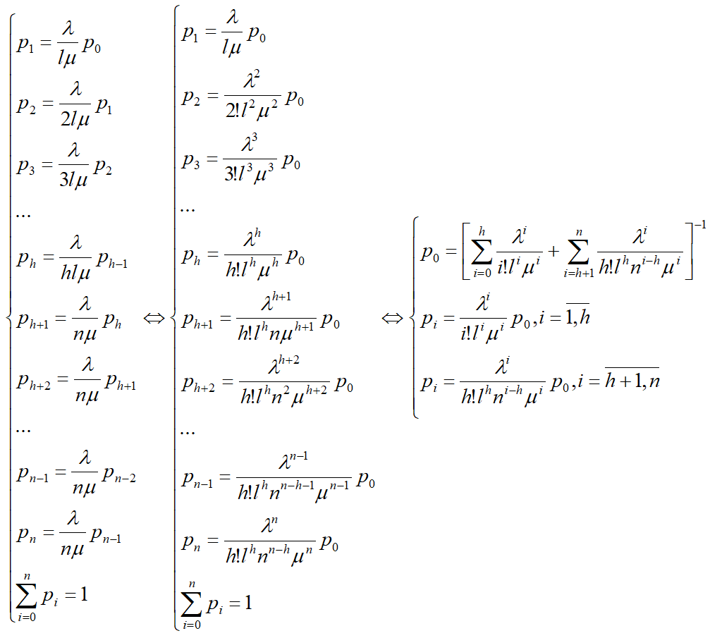
Решение системы линейных уравнений[править]
Решим систему относительно p0,p1,p2,…,pn.
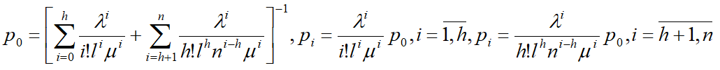
В результате получаем решение системы:
- Заметим, что при n>l>0,m=0,λi-1=λ,μi=ilμ,i=1,h,λj-1=λ,μj=nμ,j=h+1,n система массового обслуживания становится СМО n-канальной без очереди и с частичной взаимопомощью.
Другие СМО:[править]
- СМО n-канальная без очереди;
- СМО n-канальная без очереди и с ограниченным временем обслуживания;
- СМО n-канальная без очереди и со случайным результатом обслуживания;
- СМО n-канальная без очереди и со случайным выбором канала;
- СМО n-канальная без очереди и с взаимопомощью;
- СМО n-канальная без очереди и с частичной взаимопомощью;
- СМО n-канальная с m-очередью;
- СМО n-канальная с m-очередью и с ограниченным временем обслуживания;
- СМО n-канальная с m-очередью и со случайным результатом обслуживания;
- СМО n-канальная с m-очередью и с ограниченным временем ожидания;
- СМО n-канальная с m-очередью и с ограниченным временем обслуживания и ожидания;
- СМО n-канальная с m-очередью и с взаимопомощью;
- СМО n-канальная с m-очередью и с частичной взаимопомощью;
- СМО n-канальная с бесконечной очередью;
- СМО n-канальная с бесконечной очередью и с убывающим потоком заявок;
- СМО с бесконечным числом каналов;
- СМО с бесконечным числом каналов и с ограниченным временем обслуживания;
- СМО замкнутая n-канальная без очереди;
- СМО замкнутая n-канальная без очереди и с взаимопомощью;
- СМО замкнутая n-канальная без очереди и с частичной взаимопомощью;
- СМО замкнутая n-канальная без очереди и с k-источниками;
- СМО замкнутая n-канальная без очереди, с k-источниками и с взаимопомощью;
- СМО замкнутая n-канальная без очереди, с k-источниками и с частичной взаимопомощью;
- СМО замкнутая n-канальная с m-очередью;
- СМО замкнутая n-канальная с m-очередью и с взаимопомощью;
- СМО замкнутая n-канальная с m-очередью и с частичной взаимопомощью;
- СМО замкнутая n-канальная с m-очередью и с k-источниками;
- СМО замкнутая n-канальная с m-очередью, с k-источниками и с взаимопомощью;
- СМО замкнутая n-канальная с m-очередью, с k-источниками и с частичной взаимопомощью.
Ссылки[править]
- Овчаров Л.А. Прикладные задачи теории массового обслуживания, «Машиностроение», М.,1969,стр.141-149.



