СМО n-канальная с бесконечной очередью и с убывающим потоком заявок
СМО n-канальная с бесконечной очередью и с убывающим потоком заявок — это система массового обслуживания, в которой всегда есть места в очереди и если заявка приходит, в момент, когда все каналы заняты, то она не получает немедленно отказа, а может стать в очередь и ожидать освобождения канала, который её может обслужить.
Обозначения[править]
n – число каналов обслуживания;
m – число мест в очереди;
l – число каналов обслуживания в группе;
h – число полноценных групп каналов обслуживания, h=[n/l] ;
λ – интенсивность простейшего потока заявок;
μ – интенсивность простейшего потока обслуживания.
Описание модели[править]
На вход n-канальной СМО с бесконечной очередью поступает простейший поток заявок с переменной интенсивностью, для i-го состояния интенсивность потока заявок λ/(i+1).
Интенсивность простейшего потока обслуживания каждого канала μ.
Если заявка застаёт все каналы свободными, то она принимается на обслуживание и обслуживается одним из n каналов.
После окончания обслуживания один канал освобождается.
Если вновь прибывшая заявка застаёт в системе свободным хотя бы один канал, то она принимается на обслуживание одним из свободных каналов и обслуживается до конца.
Если заявка застаёт все каналы занятыми, то она становится в очередь и «терпеливо» ждёт своего обслуживания.
Дисциплина очереди естественная: кто раньше пришёл, тот раньше и обслуживается.
Число мест в очереди не ограничено.
Состояние рассмотренной системы будем связывать с числом заявок, находящихся в системе.
Граф состояний[править]
М/М/n/∞ – СМО n-канальная с бесконечной очередью.
Рассмотрим множество состояний системы:
S0 – в системе нет ни одной заявки, все каналы свободны;
S1 – в системе имеется 1-заявка, она обслуживается 1-каналом;
S2 – в системе имеется 2-заявки, они обслуживаются 2-каналами;
…;
Sn-1 – в системе имеется (n-1)-заявок, они обслуживаются (n-1)-каналами;
Sn – в системе имеется n-заявок, они обслуживаются n-каналами, очереди нет;
Sn+1 – в системе имеется (n+1)-заявок, n из них обслуживаются n-каналами, а 1-заявка ожидает в очереди;
….
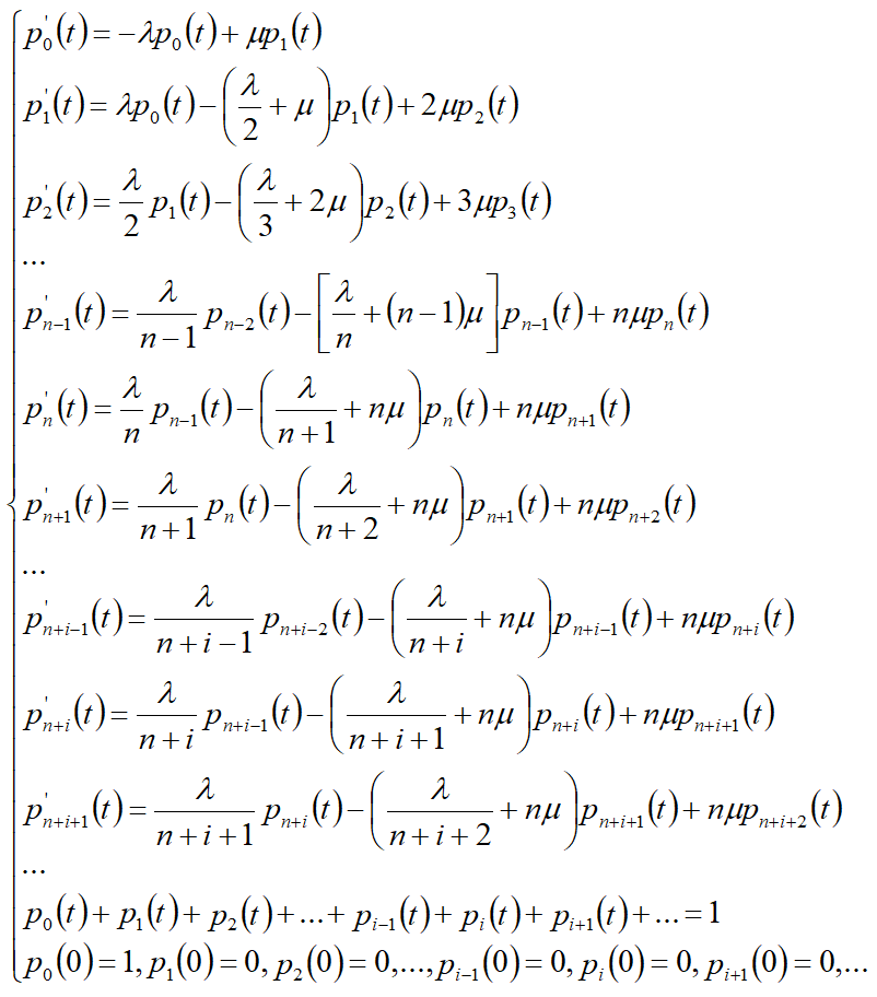
Система дифференциальных уравнений[править]
Система дифференциальных уравнений, описывающих поведение системы, имеет вид:
Рассмотрим стационарный режим работы системы (при t→∞).
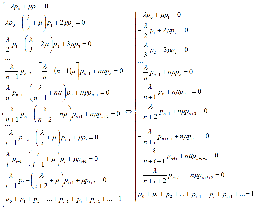
Система линейных уравнений[править]
Система уравнений принимает вид:
Суммируя в системе уравнения с первого до i-го (i=1,∞), получаем упрощённый вид системы.
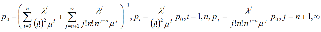
Решение системы линейных уравнений[править]
Решим систему относительно p0,p1,p2,…, pn-1, pn,pn+1,…,pn+i-1,pn+i,pn+i+1,….
В результате получаем решение системы:
Основные характеристики системы[править]
- Заметим, что при n>0,m→∞,λi-1=λ/i,μi=iμ,i=1,n,λj-1=λ/j,μj=nμ,j=n+1,∞ система массового обслуживания становится СМО n-канальной с бесконечной очередью и с убывающим потоком заявок .
- Заметим, что при n=1 СМО n-канальная с бесконечной очередью и с убывающим потоком заявок становится одноканальной.
Другие СМО:[править]
- СМО n-канальная без очереди;
- СМО n-канальная без очереди и с ограниченным временем обслуживания;
- СМО n-канальная без очереди и со случайным результатом обслуживания;
- СМО n-канальная без очереди и со случайным выбором канала;
- СМО n-канальная без очереди и с взаимопомощью;
- СМО n-канальная без очереди и с частичной взаимопомощью;
- СМО n-канальная с m-очередью;
- СМО n-канальная с m-очередью и с ограниченным временем обслуживания;
- СМО n-канальная с m-очередью и со случайным результатом обслуживания;
- СМО n-канальная с m-очередью и с ограниченным временем ожидания;
- СМО n-канальная с m-очередью и с ограниченным временем обслуживания и ожидания;
- СМО n-канальная с m-очередью и с взаимопомощью;
- СМО n-канальная с m-очередью и с частичной взаимопомощью;
- СМО n-канальная с бесконечной очередью;
- СМО n-канальная с бесконечной очередью и с убывающим потоком заявок;
- СМО с бесконечным числом каналов;
- СМО с бесконечным числом каналов и с ограниченным временем обслуживания;
- СМО замкнутая n-канальная без очереди;
- СМО замкнутая n-канальная без очереди и с взаимопомощью;
- СМО замкнутая n-канальная без очереди и с частичной взаимопомощью;
- СМО замкнутая n-канальная без очереди и с k-источниками;
- СМО замкнутая n-канальная без очереди, с k-источниками и с взаимопомощью;
- СМО замкнутая n-канальная без очереди, с k-источниками и с частичной взаимопомощью;
- СМО замкнутая n-канальная с m-очередью;
- СМО замкнутая n-канальная с m-очередью и с взаимопомощью;
- СМО замкнутая n-канальная с m-очередью и с частичной взаимопомощью;
- СМО замкнутая n-канальная с m-очередью и с k-источниками;
- СМО замкнутая n-канальная с m-очередью, с k-источниками и с взаимопомощью;
- СМО замкнутая n-канальная с m-очередью, с k-источниками и с частичной взаимопомощью.



