СМО n-канальная с m-очередью и с взаимопомощью
СМО n-канальная с m-очередью и с взаимопомощью — это система массового обслуживания, в которой всегда есть взаимопомощь между каналами обслуживания: если заявка приходит, в момент, когда все каналы свободны, то она немедленно обслуживается всеми каналами, если заявка приходит — когда уже обслуживаются заявки числом меньше, чем число каналов, то она немедленно обслуживается частью каналов, иначе если заявка приходит — когда уже обслуживаются заявки числом меньше, чем число каналов и число мест в очереди, то она становится в очередь, в остальных случаях заявка покидает систему (теряется). Максимальное число заявок в системе равно сумме числа каналов и мест в очереди.
Обозначения[править]
n — число каналов обслуживания;
m — число мест в очереди;
λ — интенсивность простейшего потока заявок;
μ — интенсивность простейшего потока обслуживания.
Описание модели[править]
На вход n-канальной СМО с m-очередью поступает простейший поток заявок с интенсивностью λ. Интенсивность простейшего потока обслуживания каждого канала μ.
Интенсивность потока обслуживания с взаимопомощью между каналами всегда равна nμ.
Если заявка застаёт все каналы свободными, она принимается на обслуживание и обслуживается всеми n-каналами одновременно, при этом производительность увеличивается в n-раз.
После окончания обслуживания все каналы освобождаются одновременно.
Если вновь прибывшая заявка застаёт в системе одну заявку, то она принимается на обслуживание: часть каналов обслуживает первую заявку, часть приступает к обслуживанию второй заявки. Разделение каналов совершенно произвольное.
Если система обслуживает k-заявок (k=1,n-1), то вновь прибывшая заявка принимается на обслуживание и все (k+1)-заявок обслуживаются n-каналами, распределёнными произвольно между заявками, но так, что все каналы заняты обслуживанием.
Попавшая на обслуживание заявка обслуживается до конца (заявки терпеливые).
Если обслуживание какой-либо заявки окончено, то освободившаяся группа каналов присоединяется к обслуживанию остальных заявок, находящихся в системе. Таким образом, при наличии в системе хотя бы одной заявки все n-каналов всё время будут заняты.
Если система обслуживает n-заявок (k=n), то каждая из них обслуживается одним каналом, а вновь прибывшая заявка встаёт в очередь и ожидает освобождения хотя бы одного из каналов.
Если в системе имеется (n+r)-заявок (r=1,m-1), то n-заявок из них обслуживаются и r-заявок ожидают в очереди, а вновь прибывшая заявка становится в очередь. Максимальное число мест в очереди m.
Если вновь прибывшая заявка застаёт в очереди m-заявок, то она получает отказ и исключается из обслуживания.
Состояние рассмотренной системы будем связывать с числом заявок, находящихся в системе.
Граф состояний[править]
М/М/n/m — СМО n-канальная с m-очередью и с взаимопомощью.
Рассмотрим множество состояний системы:
S0 — в системе нет ни одной заявки, все каналы свободны;
S1 — в системе имеется 1-заявка, она обслуживается всеми n-каналами;
S2 — в системе имеется 2-заявки, они обслуживается n-каналами;
…;
Sn-1 — в системе имеется (n-1)-заявок, они обслуживаются n-каналами;
Sn — в системе имеется n-заявок, они обслуживаются n-каналами, очереди нет;
Sn+1 — в системе имеется (n+1)-заявок, n из них обслуживаются n-каналами, а 1-заявка ожидает в очереди;
…;
Sn+m-2 — в системе имеется (n+m-2)-заявок, n из них обслуживаются n-каналами, а (m-2)-заявок ожидают в очереди;
Sn+m-1 — в системе имеется (n+m-1)-заявок, n из них обслуживаются n-каналами, а (m-1)-заявок ожидают в очереди;
Sn+m — в системе имеется (n+m)-заявок, n из них обслуживаются n-каналами, а m-заявок ожидают в очереди;
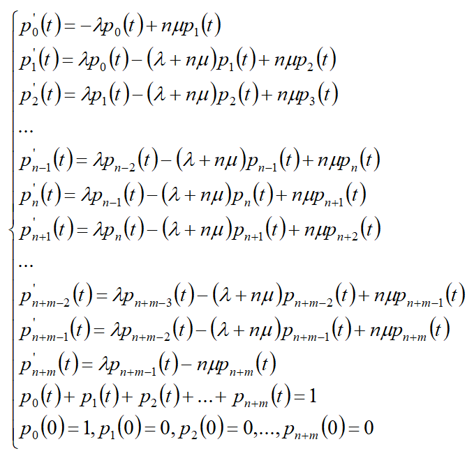
Система дифференциальных уравнений[править]
Система дифференциальных уравнений, описывающих поведение системы, имеет вид:
Рассмотрим стационарный режим работы системы (при t→∞).
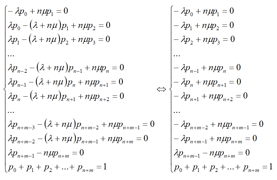
Система линейных уравнений[править]
Система уравнений принимает вид:
Суммируя в системе уравнения с первого до i-го (i=1,n+m), получаем упрощённый вид системы.
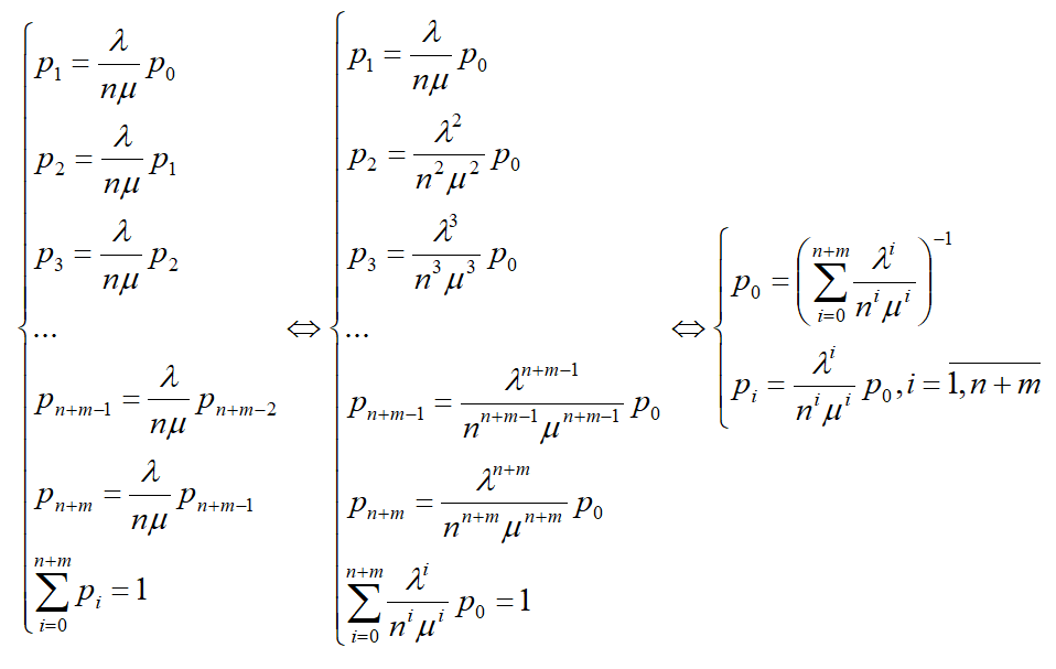
Решение системы линейных уравнений[править]
Решим систему относительно p0,p1,p2,…,pn+m.
В результате получаем решение системы:
- Заметим, что при n>0,m>0,λi-1=λ,μi=nμ,i=1,n+m система массового обслуживания становится СМО n-канальной с m-очередью и с взаимопомощью.
Другие СМО:[править]
- СМО n-канальная без очереди;
- СМО n-канальная без очереди и с ограниченным временем обслуживания;
- СМО n-канальная без очереди и со случайным результатом обслуживания;
- СМО n-канальная без очереди и со случайным выбором канала;
- СМО n-канальная без очереди и с взаимопомощью;
- СМО n-канальная без очереди и с частичной взаимопомощью;
- СМО n-канальная с m-очередью;
- СМО n-канальная с m-очередью и с ограниченным временем обслуживания;
- СМО n-канальная с m-очередью и со случайным результатом обслуживания;
- СМО n-канальная с m-очередью и с ограниченным временем ожидания;
- СМО n-канальная с m-очередью и с ограниченным временем обслуживания и ожидания;
- СМО n-канальная с m-очередью и с взаимопомощью;
- СМО n-канальная с m-очередью и с частичной взаимопомощью;
- СМО n-канальная с бесконечной очередью;
- СМО n-канальная с бесконечной очередью и с убывающим потоком заявок;
- СМО с бесконечным числом каналов;
- СМО с бесконечным числом каналов и с ограниченным временем обслуживания;
- СМО замкнутая n-канальная без очереди;
- СМО замкнутая n-канальная без очереди и с взаимопомощью;
- СМО замкнутая n-канальная без очереди и с частичной взаимопомощью;
- СМО замкнутая n-канальная без очереди и с k-источниками;
- СМО замкнутая n-канальная без очереди, с k-источниками и с взаимопомощью;
- СМО замкнутая n-канальная без очереди, с k-источниками и с частичной взаимопомощью;
- СМО замкнутая n-канальная с m-очередью;
- СМО замкнутая n-канальная с m-очередью и с взаимопомощью;
- СМО замкнутая n-канальная с m-очередью и с частичной взаимопомощью;
- СМО замкнутая n-канальная с m-очередью и с k-источниками;
- СМО замкнутая n-канальная с m-очередью, с k-источниками и с взаимопомощью;
- СМО замкнутая n-канальная с m-очередью, с k-источниками и с частичной взаимопомощью.
Ссылки[править]
- Овчаров Л. А. Прикладные задачи теории массового обслуживания, «Машиностроение», М.,1969, стр.192-202.



