СМО замкнутая n-канальная без очереди и с k-источниками
СМО замкнутая n-канальная без очереди и с k-источниками — это система массового обслуживания, в которой есть n-каналов, k-источников заявок (k>n). Поток заявок каждого источника имеет одинаковую интенсивность. Первоначальный поток заявок имеет интенсивность большую в k-раз, чем поток заявок от одного источника. Каждое поступление заявки, снижает интенсивность входного потока на интенсивность потока от одного источника. Если заявка приходит, в момент, когда все каналы свободны, то она немедленно поступает на обслуживание одним любым каналом. Если заявка приходит, в момент, когда свободен хотя бы один канал, то она немедленно поступает на обслуживание одним из свободных каналов. Максимальное число заявок в системе равно числу каналов.
Обозначения[править]
n – число каналов обслуживания;
m – число мест в очереди;
k – число источников заявок;
λ – интенсивность простейшего потока заявок;
μ – интенсивность простейшего потока обслуживания.
Описание модели[править]
На вход n-канальной СМО поступает поток заявок от k-источников, причём каждый источник заявок даёт простейший поток заявок с интенсивностью λ.
Интенсивность простейшего потока обслуживания каждого канала μ.
Если заявка застаёт все каналы свободными, то она принимается на обслуживание и обслуживается одним из n каналов.
После окончания обслуживания один канал освобождается.
Если вновь прибывшая заявка застаёт в системе свободным хотя бы один канал, то она принимается на обслуживание одним из свободных каналов и обслуживается до конца.
Если вновь прибывшая заявка застаёт в системе все каналы занятыми, то она не обслуживается (т.е. теряется).
Заявки дополнительных источников не обслуживаются в данной системе, и «восстанавливаются» другими системами.
Каждое поступление заявки, снижает интенсивность входного потока на поток от одного источника.
Состояние рассмотренной системы будем связывать с числом заявок, находящихся в системе.
Граф состояний[править]
М/М/n/0/k – СМО замкнутая n-канальная без очереди и с k-источниками
Рассмотрим множество состояний системы:
S0 – в системе нет ни одной заявки, все каналы свободны, k-источников заявок;
S1 – в системе имеется 1-заявка, она обслуживается 1-каналом, (k-1)-источников заявок;
S2 – в системе имеется 2-заявки, они обслуживаются 2-каналами, (k-2)-источников заявок;
…;
Sn-2 – в системе имеется (n-2)-заявок, они обслуживаются (n-2)-каналами, (k-n+2)-источников заявок;
Sn-1 – в системе имеется (n-1)-заявок, они обслуживаются (n-1)-каналами, (k-n+1)-источников заявок;
Sn – в системе имеется n-заявок, они обслуживаются n-каналами, (k-n)-источников дополнительных, заявки которых не обслуживаются.
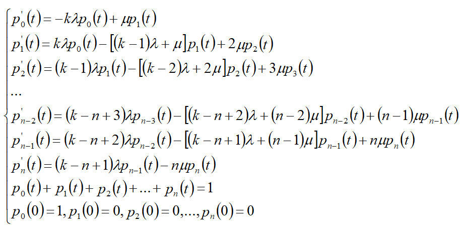
Система дифференциальных уравнений[править]
Система дифференциальных уравнений, описывающих поведение системы, имеет вид:
Рассмотрим стационарный режим работы системы (при t→∞).
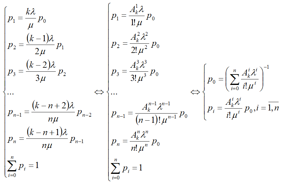
Система линейных уравнений[править]
Система уравнений принимает вид:
Суммируя в системе уравнения с первого до i-го (i=1,n), получаем упрощённый вид системы.
Решение системы линейных уравнений[править]
Решим систему относительно p0,p1,p2,…,pn.
В результате получаем решение системы:
- Заметим, что при n>0,m=0,λi-1=(k-i+1)λ,μi=iμ,i=1,n система массового обслуживания становится СМО замкнутой n-канальной без очереди и с k-источниками.
- Заметим, что при n=1 СМО замкнутая n-канальная без очереди и с k-источниками становится одноканальной.
Другие СМО:[править]
- СМО n-канальная без очереди;
- СМО n-канальная без очереди и с ограниченным временем обслуживания;
- СМО n-канальная без очереди и со случайным результатом обслуживания;
- СМО n-канальная без очереди и со случайным выбором канала;
- СМО n-канальная без очереди и с взаимопомощью;
- СМО n-канальная без очереди и с частичной взаимопомощью;
- СМО n-канальная с m-очередью;
- СМО n-канальная с m-очередью и с ограниченным временем обслуживания;
- СМО n-канальная с m-очередью и со случайным результатом обслуживания;
- СМО n-канальная с m-очередью и с ограниченным временем ожидания;
- СМО n-канальная с m-очередью и с ограниченным временем обслуживания и ожидания;
- СМО n-канальная с m-очередью и с взаимопомощью;
- СМО n-канальная с m-очередью и с частичной взаимопомощью;
- СМО n-канальная с бесконечной очередью;
- СМО n-канальная с бесконечной очередью и с убывающим потоком заявок;
- СМО с бесконечным числом каналов;
- СМО с бесконечным числом каналов и с ограниченным временем обслуживания;
- СМО замкнутая n-канальная без очереди;
- СМО замкнутая n-канальная без очереди и с взаимопомощью;
- СМО замкнутая n-канальная без очереди и с частичной взаимопомощью;
- СМО замкнутая n-канальная без очереди и с k-источниками;
- СМО замкнутая n-канальная без очереди, с k-источниками и с взаимопомощью;
- СМО замкнутая n-канальная без очереди, с k-источниками и с частичной взаимопомощью;
- СМО замкнутая n-канальная с m-очередью;
- СМО замкнутая n-канальная с m-очередью и с взаимопомощью;
- СМО замкнутая n-канальная с m-очередью и с частичной взаимопомощью;
- СМО замкнутая n-канальная с m-очередью и с k-источниками;
- СМО замкнутая n-канальная с m-очередью, с k-источниками и с взаимопомощью;
- СМО замкнутая n-канальная с m-очередью, с k-источниками и с частичной взаимопомощью.



