СМО замкнутая n-канальная без очереди и с взаимопомощью
СМО замкнутая n-канальная без очереди и с взаимопомощью — это система массового обслуживания, в которой есть n-каналов, n-источников заявок. Поток заявок каждого источника имеет одинаковую интенсивность.
— это система массового обслуживания, в которой есть n-каналов, n-источников заявок и между каналами полная взаимопомощь. Поток заявок каждого источника имеет одинаковую интенсивность. Первоначальный поток заявок имеет интенсивность большую в n-раз, чем поток заявок от одного источника. Каждое поступление заявки, снижает интенсивность входного потока на интенсивность потока от одного источника. Если заявка приходит, в момент, когда все каналы свободны, то она немедленно поступает на обслуживание всеми каналами. Если заявка приходит, в момент, когда заявок меньше, чем каналов, то она немедленно поступает на обслуживание, причём все каналы распределяются между всеми заявками. Если заявка приходит, в момент, когда заявок столько же, сколько каналов, то она не обслуживается (т.е. теряется). Максимальное число заявок в системе равно числу каналов.
Обозначения[править]
n – число каналов обслуживания;
m – число мест в очереди;
λ – интенсивность простейшего потока заявок;
μ – интенсивность простейшего потока обслуживания.
Описание модели[править]
На вход n-канальной СМО поступает поток заявок от n-источников, причём каждый источник заявок даёт простейший поток заявок с интенсивностью λ.
Интенсивность простейшего потока обслуживания каждого канала μ.
Если заявка застаёт все каналы свободными, то она принимается на обслуживание и обслуживается всеми n-каналами.
После окончания обслуживания каналы освобождаются.
Если вновь прибывшая заявка застаёт в системе число заявок меньше, чем каналов, то она принимается на обслуживание, причём все каналы распределяются между всеми заявками.
Если вновь прибывшая заявка застаёт в системе число заявок равным числу каналов, то она не обслуживается (т.е.теряется).
Каждое поступление заявки, снижает интенсивность входного потока на поток от одного источника.
Состояние рассмотренной системы будем связывать с числом заявок, находящихся в системе.
Граф состояний[править]
М/М/n/0/n – СМО замкнутая n-канальная без очереди и с взаимопомощью.
Рассмотрим множество состояний системы:
S0 – в системе нет ни одной заявки, все каналы свободны, n-источников заявок;
S1 – в системе имеется 1-заявка, она обслуживается n-каналами, (n-1)-источников заявок;
S2 – в системе имеется 2-заявки, они обслуживаются n-каналами, (n-2)-источников заявок;
…;
Sn-2 – в системе имеется (n-2)-заявок, они обслуживаются n-каналами, 2-источника заявок;
Sn-1 – в системе имеется (n-1)-заявок, они обслуживаются n-каналами, 1-источник заявок;
Sn – в системе имеется n-заявок, все они обслуживаются n-каналами.
Система дифференциальных уравнений[править]
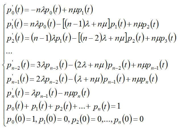
Система дифференциальных уравнений, описывающих поведение системы, имеет вид:
Рассмотрим стационарный режим работы системы (при t→∞).
Система линейных уравнений[править]
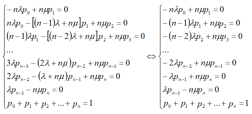
Система уравнений принимает вид:
Суммируя в системе уравнения с первого до i-го (i=1,n), получаем упрощённый вид системы.
Решение системы линейных уравнений[править]
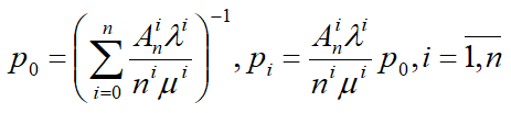
Решим систему относительно p0,p1,p2,…,pn.
В результате получаем решение системы:
- Заметим, что при n>0,m=0,λi-1=(n-i+1)λ,μi=nμ,i=1,n система массового обслуживания становится СМО замкнутой n-канальной без очереди и с взаимопомощью.
Другие СМО:[править]
- СМО n-канальная без очереди;
- СМО n-канальная без очереди и с ограниченным временем обслуживания;
- СМО n-канальная без очереди и со случайным результатом обслуживания;
- СМО n-канальная без очереди и со случайным выбором канала;
- СМО n-канальная без очереди и с взаимопомощью;
- СМО n-канальная без очереди и с частичной взаимопомощью;
- СМО n-канальная с m-очередью;
- СМО n-канальная с m-очередью и с ограниченным временем обслуживания;
- СМО n-канальная с m-очередью и со случайным результатом обслуживания;
- СМО n-канальная с m-очередью и с ограниченным временем ожидания;
- СМО n-канальная с m-очередью и с ограниченным временем обслуживания и ожидания;
- СМО n-канальная с m-очередью и с взаимопомощью;
- СМО n-канальная с m-очередью и с частичной взаимопомощью;
- СМО n-канальная с бесконечной очередью;
- СМО n-канальная с бесконечной очередью и с убывающим потоком заявок;
- СМО с бесконечным числом каналов;
- СМО с бесконечным числом каналов и с ограниченным временем обслуживания;
- СМО замкнутая n-канальная без очереди;
- СМО замкнутая n-канальная без очереди и с взаимопомощью;
- СМО замкнутая n-канальная без очереди и с частичной взаимопомощью;
- СМО замкнутая n-канальная без очереди и с k-источниками;
- СМО замкнутая n-канальная без очереди, с k-источниками и с взаимопомощью;
- СМО замкнутая n-канальная без очереди, с k-источниками и с частичной взаимопомощью;
- СМО замкнутая n-канальная с m-очередью;
- СМО замкнутая n-канальная с m-очередью и с взаимопомощью;
- СМО замкнутая n-канальная с m-очередью и с частичной взаимопомощью;
- СМО замкнутая n-канальная с m-очередью и с k-источниками;
- СМО замкнутая n-канальная с m-очередью, с k-источниками и с взаимопомощью;
- СМО замкнутая n-канальная с m-очередью, с k-источниками и с частичной взаимопомощью.



