Девятеричная система счисления
Девятеричная система (9-ричная система) — позиционная система счисления с основанием 9.
Обозначения:[править]
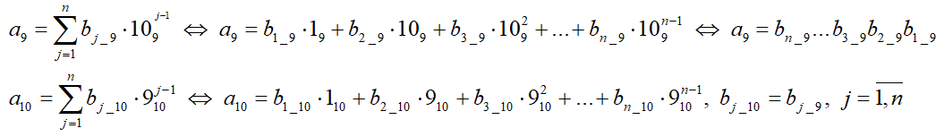
a9 – натуральное число в девятеричной системе счисления;
a10 – натуральное число в десятичной системе счисления;
n – число цифр в числе a9;
bj_9 – j-тая (справа-налево) девятеричная цифра числа a9, принимает значения цифр от 0 до 8;
bj_10 – десятичное число соответствующее j-той (справа-налево) девятеричной цифре числа a9, принимает значения от 0 до 8.
Формула числа[править]
С помощью n позиций в девятеричной системе счисления можно записать целые числа в диапазоне от 0 до 9n-1, то есть всего 9n различных чисел.
Таблицы сложения:[править]
Таблицы умножения:[править]
Таблица 3-ичных пар[править]
| Цифра | 0 | 1 | 2 | 3 | 4 | 5 | 6 | 7 | 8 |
|---|---|---|---|---|---|---|---|---|---|
| Пара | 00 | 01 | 02 | 10 | 11 | 12 | 20 | 21 | 22 |
Примеры алгоритмов:[править]
Перевод чисел из девятеричной системы счисления в троичную[править]
Цифры исходного числа девятеричной системы счисления заменяются (слева направо) на соответствующие (по таблице 3-ичных пар) пары цифр троичной системы счисления. Незначащий нуль первой (самой левой) пары опускается (отбрасывается).
- Перевод 9→3
18689=01 22 20 223=12220223
Перевод из девятеричной системы счисления в десятичную[править]
Считается сумма произведений цифр девятеричной системы счисления на веса разрядов (основание 9 в степени номер разряда, начиная с нулевого; нулевой разряд это разряд единиц, далее разряды десятков, сотен, тысяч и т.д.) в девятеричной системе. Полученное число является записью исходного числа в десятичной системе счисления.
- Перевод 9→10
18689=1˙93+8˙92+6˙91+8˙90=1˙729+8˙81+6˙9+8˙1=729+648+54+8=143910 => 18689=143910
Перевод чисел из троичной системы счисления в девятеричную[править]
Исходное число троичной системы счисления разбивается на пары цифр, начиная с цифры единиц (самой правой цифры, она может быть от 0 до 2). Последняя (самая левая) пара может быть неполной, тогда в неё слева добавляется цифра 0. Затем пары цифр заменяются на соответствующие (по таблице 3-ичных пар) цифры девятеричной системы счисления.
- Перевод 3→9
12220223=01 22 20 223=18689
Перевод из десятичной системы счисления в девятеричную[править]
Сначала производится последовательное деление столбиком исходного числа и получаемых (от предыдущих делений) частных (больших или равных основанию) на основание 9 и записываются остатки от делений. Деление продолжается до тех пор, пока частное не станет меньше основания 9. Затем выписываются цифры в девятеричной системе счисления вместо последнего частного и остатков от делений в обратном (получению) порядке. Полученное число является записью исходного числа в девятеричной системе счисления.
- Перевод 10→9
Другие системы счисления:[править]
- одиннадцатиричная специальная (цифры:0-9,A);
- двоичная (цифры:0-1);
- троичная (цифры:0-2);
- четверичная (цифры:0-3);
- пятеричная (цифры:0-4);
- шестеричная (цифры:0-5);
- семеричная (цифры:0-6);
- восьмеричная (цифры:0-7);
- девятеричная (цифры:0-8);
- десятичная (цифры:0-9);
- одиннадцатиричная (цифры:0-9,A);
- двенадцатеричная (цифры:0-9,A-B);
- тринадцатеричная (цифры:0-9,A-C);
- четырнадцатеричная (цифры:0-9,A-D);
- пятнадцатеричная (цифры:0-9,A-E);
- шестнадцатеричная (цифры:0-9,A-F).