Пятеричная система счисления
Пятеричная система (5-ричная система) — позиционная система счисления с основанием 5.
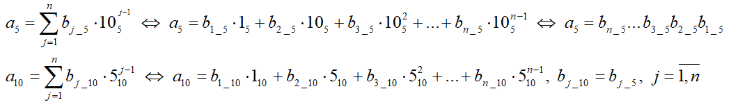
Обозначения:[править]
a5 – натуральное число в пятеричной системе счисления;
a10 – натуральное число в десятичной системе счисления;
n – число цифр в числе a5;
bj_5 – j-тая (справа-налево) пятеричная цифра числа a5, принимает значения цифр от 0 до 4;
bj_10 – десятичное число соответствующее j-той (справа-налево) пятеричной цифре числа a5, принимает значения от 0 до 4.
Формула числа[править]
С помощью n позиций в пятеричной системе счисления можно записать целые числа в диапазоне от 0 до 5n-1, то есть всего 5n различных чисел.
Таблицы сложения:[править]
Таблица сложения в пятеричной системе счисления[править]
Таблица сложения в десятичной системе счисления[править]
Таблицы умножения:[править]
Таблица умножения в пятеричной системе счисления[править]
Таблица умножения в десятичной системе счисления[править]
Примеры алгоритмов:[править]
Перевод из пятеричной системы счисления в десятичную[править]
Считается сумма произведений цифр пятеричной системы счисления на веса разрядов (основание 5 в степени номер разряда, начиная с нулевого; нулевой разряд это разряд единиц, далее разряды десятков, сотен, тысяч и т.д.) в пятеричной системе. Полученное число является записью исходного числа в десятичной системе счисления.
Перевод 5→10[править]
212245=2˙54+1˙53+2˙52+2˙51+4˙50=2˙625+1˙125+2˙25+2˙5+4˙1=1250+125+50+10+4=143910 => 212245=143910
Перевод из десятичной системы счисления в пятеричную[править]
Сначала производится последовательное деление столбиком исходного числа и получаемых (от предыдущих делений) частных (больших или равных основанию) на основание 5 и записываются остатки от делений. Деление продолжается до тех пор, пока частное не станет меньше основания 5. Затем выписываются цифры в пятеричной системе счисления вместо последнего частного и остатков от делений в обратном (получению) порядке. Полученное число является записью исходного числа в пятеричной системе счисления.
Перевод 10→5[править]
Другие системы счисления:[править]
- одиннадцатиричная специальная (цифры:0-9,A);
- двоичная (цифры:0-1);
- троичная (цифры:0-2);
- четверичная (цифры:0-3);
- пятеричная (цифры:0-4);
- шестеричная (цифры:0-5);
- семеричная (цифры:0-6);
- восьмеричная (цифры:0-7);
- девятеричная (цифры:0-8);
- десятичная (цифры:0-9);
- одиннадцатиричная (цифры:0-9,A);
- двенадцатеричная (цифры:0-9,A-B);
- тринадцатеричная (цифры:0-9,A-C);
- четырнадцатеричная (цифры:0-9,A-D);
- пятнадцатеричная (цифры:0-9,A-E);
- шестнадцатеричная (цифры:0-9,A-F).



