Десятичная система счисления
Десятичная система — позиционная система счисления с основанием 10.
Обозначения:[править]
a10 – натуральное число в десятичной системе счисления;
n – число цифр в числе a10;
bj_10 – j-тая (справа-налево) десятичная цифра числа a10, принимает значения цифр от 0 до 9;
bj_10 – десятичное число соответствующее j-той (справа-налево) десятичной цифре числа a10, принимает значения от 0 до 9.
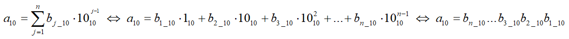
Формула числа[править]
С помощью n позиций в десятичной системе счисления можно записать целые числа в диапазоне от 0 до 10n-1, то есть всего 10n различных чисел.
Таблицы сложения:[править]
Таблица сложения в десятичной системе счисления[править]
Таблицы умножения:[править]
Таблица умножения в десятичной системе счисления[править]
Примеры алгоритмов:[править]
Перевод чисел из десятичной системы счисления[править]
Сначала производится последовательное деление столбиком исходного числа и получаемых (от предыдущих делений) частных (больших или равных основанию) на основание новой системы счисления и записываются остатки от делений. Деление продолжается до тех пор, пока частное не станет меньше основания. Затем выписываются цифры в новой системе счисления вместо (полученных в десятичной системе счисления) последнего частного и остатков от делений в обратном (получению) порядке. Полученное число является записью исходного числа в новой системе счисления.
Примеры:[править]
Перевод 10→2[править]
Перевод 10→10[править]
Перевод 10→16[править]
Перевод чисел в десятичную систему счисления[править]
Считается сумма произведений цифр исходной системы счисления (предварительно переведённых в десятичную систему счисления) на веса разрядов (основание системы счисления в степени номер разряда, начиная с нулевого) в исходной системе. Полученное число является записью исходного числа в десятичной системе счисления.
Примеры:[править]
Перевод 2→10[править]
101100111112=1˙210+0˙29+1˙28+1˙27+0˙26+0˙25+1˙24+1˙23+1˙22+1˙21+1˙20=1˙1024+0˙512+1˙256+1˙128+0˙64+0˙16+1˙8+1˙4+1˙2+1˙1=
=1024+0+256+128+0+0+8+4+2+1=143910 => 101100111112=143910
Перевод 10→10[править]
143910=1˙103+4˙102+3˙101+9˙100=1˙1000+4˙100+3˙10+9˙1=1000+400+30+9=143910 => 143910=143910
Перевод 16→10[править]
59F16=5˙162+9˙161+F˙160=5˙256+9˙16+15˙1=1280+144+15=143910 => 59F16=143910
Другие системы счисления:[править]
- одиннадцатиричная специальная (цифры:0-9,A);
- двоичная (цифры:0-1);
- троичная (цифры:0-2);
- четверичная (цифры:0-3);
- пятеричная (цифры:0-4);
- шестеричная (цифры:0-5);
- семеричная (цифры:0-6);
- восьмеричная (цифры:0-7);
- девятеричная (цифры:0-8);
- десятичная (цифры:0-9);
- одиннадцатиричная (цифры:0-9,A);
- двенадцатеричная (цифры:0-9,A-B);
- тринадцатеричная (цифры:0-9,A-C);
- четырнадцатеричная (цифры:0-9,A-D);
- пятнадцатеричная (цифры:0-9,A-E);
- шестнадцатеричная (цифры:0-9,A-F).

