Шестеричная система счисления
Шестеричная система (6-ричная система) — позиционная система счисления с основанием 6.
Обозначения:[править]
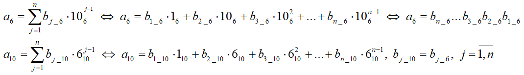
a6 – натуральное число в шестеричной системе счисления;
a10 – натуральное число в десятичной системе счисления;
n – число цифр в числе a6;
bj_6 – j-тая (справа-налево) шестеричная цифра числа a6, принимает значения цифр от 0 до 5;
bj_10 – десятичное число соответствующее j-той (справа-налево) шестеричной цифре числа a6, принимает значения от 0 до 5.
Формула числа[править]
С помощью n позиций в шестеричной системе счисления можно записать целые числа в диапазоне от 0 до 6n-1, то есть всего 6n различных чисел.
Таблицы сложения:[править]
Таблица сложения в шестеричной системе счисления[править]
Таблица сложения в десятичной системе счисления[править]
Таблицы умножения:[править]
Таблица умножения в шестеричной системе счисления[править]
Таблица умножения в десятичной системе счисления[править]
Примеры алгоритмов:[править]
Перевод из шестеричной системы счисления в десятичную[править]
Считается сумма произведений цифр шестеричной системы счисления на веса разрядов (основание 6 в степени номер разряда, начиная с нулевого; нулевой разряд это разряд единиц, далее разряды десятков, сотен, тысяч и т.д.) в шестеричной системе. Полученное число является записью исходного числа в десятичной системе счисления.
Перевод 6→10[править]
103556=1˙64+0˙63+3˙62+5˙61+5˙60=1˙1296+0˙216+3˙36+5˙6+5˙1=1296+0+108+30+5=143910 => 103556=143910
Перевод из десятичной системы счисления в шестеричную[править]
Сначала производится последовательное деление столбиком исходного числа и получаемых (от предыдущих делений) частных (больших или равных основанию) на основание 6 и записываются остатки от делений. Деление продолжается до тех пор, пока частное не станет меньше основания 6. Затем выписываются цифры в шестеричной системе счисления вместо последнего частного и остатков от делений в обратном (получению) порядке. Полученное число является записью исходного числа в шестеричной системе счисления.
Перевод 10→6[править]
Другие системы счисления:[править]
- одиннадцатиричная специальная (цифры:0-9,A);
- двоичная (цифры:0-1);
- троичная (цифры:0-2);
- четверичная (цифры:0-3);
- пятеричная (цифры:0-4);
- шестеричная (цифры:0-5);
- семеричная (цифры:0-6);
- восьмеричная (цифры:0-7);
- девятеричная (цифры:0-8);
- десятичная (цифры:0-9);
- одиннадцатиричная (цифры:0-9,A);
- двенадцатеричная (цифры:0-9,A-B);
- тринадцатеричная (цифры:0-9,A-C);
- четырнадцатеричная (цифры:0-9,A-D);
- пятнадцатеричная (цифры:0-9,A-E);
- шестнадцатеричная (цифры:0-9,A-F).



