Восьмеричная система счисления
Восьмеричная система (8-ричная система) — позиционная система счисления с основанием 8.
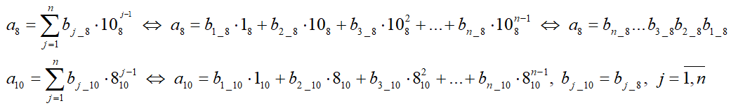
Обозначения:[править]
a8 – натуральное число в восьмеричной системе счисления;
a10 – натуральное число в десятичной системе счисления;
n – число цифр в числе a8;
bj_8 – j-тая (справа-налево) восьмеричная цифра числа a8, принимает значения цифр от 0 до 7;
bj_10 – десятичное число соответствующее j-той (справа-налево) восьмеричной цифре числа a8, принимает значения от 0 до 7.
Формула числа[править]
С помощью n позиций в восьмеричной системе счисления можно записать целые числа в диапазоне от 0 до 8n-1, то есть всего 8n различных чисел.
Таблицы сложения:[править]
Таблица сложения в восьмеричной системе счисления[править]
Таблица сложения в десятичной системе счисления[править]
Таблицы умножения:[править]
Таблица умножения в восьмеричной системе счисления[править]
Таблица умножения в десятичной системе счисления[править]
Таблицы перевода:[править]
Таблица 2-ичных пар[править]
| Цифра | 0 | 1 | 2 | 3 |
|---|---|---|---|---|
| Пара | 00 | 01 | 10 | 11 |
Таблица 2-ичных триад[править]
| Цифра | 0 | 1 | 2 | 3 | 4 | 5 | 6 | 7 |
|---|---|---|---|---|---|---|---|---|
| Триада | 000 | 001 | 010 | 011 | 100 | 101 | 110 | 111 |
Таблица 2-ичных тетрад[править]
| Цифра | 0 | 1 | 2 | 3 | 4 | 5 | 6 | 7 | 8 | 9 | A | B | C | D | E | F |
|---|---|---|---|---|---|---|---|---|---|---|---|---|---|---|---|---|
| Тетрада | 0000 | 0001 | 0010 | 0011 | 0100 | 0101 | 0110 | 0111 | 1000 | 1001 | 1010 | 1011 | 1100 | 1101 | 1110 | 1111 |
Таблица 4-ичных пар[править]
| Цифра | 0 | 1 | 2 | 3 | 4 | 5 | 6 | 7 | 8 | 9 | A | B | C | D | E | F |
|---|---|---|---|---|---|---|---|---|---|---|---|---|---|---|---|---|
| Пара | 00 | 01 | 02 | 03 | 10 | 11 | 12 | 13 | 20 | 21 | 22 | 23 | 30 | 31 | 32 | 33 |
Таблица 8-ричных пар и 4-ичных триад[править]
| 4-ричная триада |
8-ричная пара |
4-ричная триада |
8-ричная пара |
4-ричная триада |
8-ричная пара |
4-ричная триада |
8-ричная пара |
|---|---|---|---|---|---|---|---|
| 000 | 00 | 100 | 20 | 200 | 40 | 300 | 60 |
| 001 | 01 | 101 | 21 | 201 | 41 | 301 | 61 |
| 002 | 02 | 102 | 22 | 202 | 42 | 302 | 62 |
| 003 | 03 | 103 | 23 | 203 | 43 | 303 | 63 |
| 010 | 04 | 110 | 24 | 210 | 44 | 310 | 64 |
| 011 | 05 | 111 | 25 | 211 | 45 | 311 | 65 |
| 012 | 06 | 112 | 26 | 212 | 46 | 312 | 66 |
| 013 | 07 | 113 | 27 | 213 | 47 | 313 | 67 |
| 020 | 10 | 120 | 30 | 220 | 50 | 320 | 70 |
| 021 | 11 | 121 | 31 | 221 | 51 | 321 | 71 |
| 022 | 12 | 122 | 32 | 222 | 52 | 322 | 72 |
| 023 | 13 | 123 | 33 | 223 | 53 | 323 | 73 |
| 030 | 14 | 130 | 34 | 230 | 54 | 330 | 74 |
| 031 | 15 | 131 | 35 | 231 | 55 | 331 | 75 |
| 032 | 16 | 132 | 36 | 232 | 56 | 332 | 76 |
| 033 | 17 | 133 | 37 | 233 | 57 | 333 | 77 |
Примеры алгоритмов:[править]
Перевод чисел из восьмеричной системы счисления в двоичную[править]
Цифры исходного числа восьмеричной системы счисления заменяются (слева направо) на соответствующие (по таблице 2-ичных триад) триады (тройки цифр двоичной системы счисления). Незначащие нули первой (самой левой) триады опускаются (отбрасываются).
- Перевод 8→2
26378=010 110 011 1112=101100111112
Перевод чисел из восьмеричной системы счисления в четверичную[править]
Исходное число восьмеричной системы счисления разбивается на пары цифр, начиная с цифры единиц (самой правой цифры, она может быть от 0 до 7). Последняя (самая левая) пара может быть неполной, тогда в неё слева добавляется цифра 0. Затем пары цифр заменяются на соответствующие (по таблице 8-ричных пар и 4-ичных триад) триады цифр четверичной системы счисления.
- Перевод 8→4
26378=26 378=112 1334=1121334
Перевод чисел из восьмеричной системы счисления в четверичную через двоичную[править]
Цифры исходного числа восьмеричной системы счисления заменяются (слева направо) на соответствующие (по таблице 2-ичных триад) триады (тройки цифр двоичной системы счисления). Полученное число двоичной системы счисления разбивается на пары цифр двоичной системы счисления, начиная с цифры единиц (самой правой цифры, она может 0 или 1). Последняя (самая левая) пара может быть неполной, тогда в неё слева добавляется цифра 0. Затем пары двоичной системы счисления заменяются на соответствующие (по таблице 2-ичных пар) цифры четверичной системы счисления.
- Перевод 8→2→4
26378=010 110 011 1112=101100111112=01 01 10 01 11 112=1121334
Перевод из восьмеричной системы счисления в десятичную[править]
Считается сумма произведений цифр восьмеричной системы счисления на веса разрядов (основание 8 в степени номер разряда, начиная с нулевого; нулевой разряд это разряд единиц, далее разряды десятков, сотен, тысяч и т.д.) в восьмеричной системе. Полученное число является записью исходного числа в десятичной системе счисления.
- Перевод 8→10
26378=2˙83+6˙82+3˙81+7˙80=2˙512+6˙64+3˙8+7˙1=1024+384+24+7=143910 => 26378=143910
Перевод чисел из восьмеричной системы счисления в шестнадцатеричную через двоичную[править]
Цифры исходного числа восьмеричной системы счисления заменяются (слева направо) на соответствующие (по таблице 2-ичных триад) триады (тройки цифр двоичной системы счисления). Полученное число двоичной системы счисления разбивается на тетрады (четвёрки цифр двоичной системы счисления), начиная с цифры единиц (самой правой цифры, она может быть 0 или 1). Последняя (самая левая) тетрада может быть неполной, тогда в неё слева добавляется цифра 0 (одна, две или три цифры). Затем тетрады заменяются на соответствующие (по таблице 2-ичных тетрад) цифры шестнадцатеричной системы счисления.
- Перевод 8→2→16
26378=010 110 011 1112=101100111112=0101 1001 11112=59F16
Перевод чисел из восьмеричной системы счисления в шестнадцатеричную через четверичную[править]
Исходное число восьмеричной системы счисления разбивается на пары цифр, начиная с цифры единиц (самой правой цифры, она может быть от 0 до 7). Последняя (самая левая) пара может быть неполной, тогда в неё слева добавляется цифра 0. Затем пары цифр восьмеричной системы счисления заменяются на соответствующие (по таблице 8-ричных пар и 4-ичных триад) триады цифр четверичной системы счисления. Далее число четверичной системы счисления разбивается на пары цифр, начиная с цифры единиц (самой правой цифры, она может быть от 0 до 3). Последняя (самая левая) пара может быть неполной, тогда в неё слева добавляется цифра 0. Затем пары цифр четверичной системы счисления заменяются на соответствующие (по таблице 4-ичных пар) цифры шестнадцатеричной системы счисления.
- Перевод 8→4→16
26378=26 378=112 1334=1121334=11 21 334=59F16
Перевод чисел из двоичной системы счисления в восьмеричную[править]
Исходное число двоичной системы счисления разбивается на триады (тройки цифр двоичной системы счисления), начиная с цифры единиц (самой правой). Последняя (самая левая) триада может быть неполной, тогда в неё слева добавляется цифра 0 (одна или две). Затем триады заменяются на соответствующие (по таблице 8-ричных пар и 4-ичных триад) пары цифр восьмеричной системы счисления.
- Перевод 2→8
101100111112=010 110 011 1112=26378
Перевод чисел из четверичной системы счисления в восьмеричную[править]
Исходное число четверичной системы счисления разбивается на триады цифр четверичной системы счисления, начиная с цифры единиц (самой правой цифры, она может быть от 0 до 3). Последняя (самая левая) триада может быть неполной, тогда в неё слева добавляется цифра 0. Затем триады цифр четверичной системы счисления заменяются на соответствующие (по таблице 8-ричных пар и 4-ичных триад) пары цифр восьмеричной системы счисления.
- Перевод 4→8
1121334=112 1334=26 378=26378
Перевод чисел из четверичной системы счисления в восьмеричную через двоичную[править]
Цифры исходного числа четверичной системы счисления заменяются (слева направо) на соответствующие (по таблице 2-ичных пар) пары цифр двоичной системы счисления. Полученное число двоичной системы счисления разбивается на триады (тройки цифр двоичной системы счисления), начиная с цифры единиц (самой правой цифры, она может быть 0 или 1). Последняя (самая левая) тетрада может быть неполной, тогда в неё слева добавляется цифра 0 (одна, или две цифры). Затем тетрады заменяются на соответствующие (по таблице 2-ичных триад) цифры восьмеричной системы счисления.
- Перевод 4→2→8
1121334=01 01 10 01 11 112=101100111112=010 110 011 1112=26378
Перевод из десятичной системы счисления в восьмеричную[править]
Сначала производится последовательное деление столбиком исходного числа и получаемых (от предыдущих делений) частных (больших или равных основанию) на основание 8 и записываются остатки от делений. Деление продолжается до тех пор, пока частное не станет меньше основания 8. Затем выписываются цифры в восьмеричной системе счисления вместо последнего частного и остатков от делений в обратном (получению) порядке. Полученное число является записью исходного числа в восьмеричной системе счисления.
- Перевод 10→8
Перевод чисел из шестнадцатеричной системы счисления в восьмеричную через двоичную[править]
Цифры исходного числа шестнадцатеричной системы счисления заменяются (слева направо) на соответствующие (по таблице 2-ичных тетрад) тетрады (четвёрки цифр двоичной системы счисления). Полученное число двоичной системы счисления разбивается на триады (тройки цифр двоичной системы счисления), начиная с цифры единиц (самой правой цифры, она может 0 или 1). Последняя (самая левая) триада может быть неполной, тогда в неё слева добавляется цифра 0 (одна или две цифры). Затем триады заменяются на соответствующие (по таблице 2-ичных триад) цифры восьмеричной системы счисления.
- Перевод 16→2→8
59F16=0101 1001 11112=101100111112=010 110 011 1112=26378
Перевод чисел из шестнадцатеричной системы счисления в восьмеричную через четверичную[править]
Цифры исходного числа шестнадцатеричной системы счисления заменяются (слева направо) на соответствующие (по таблице 4-ичных пар) пары цифр четверичной системы счисления. Незначащий нуль первой (самой левой) пары опускается (отбрасывается). Далее число четверичной системы счисления разбивается на триады цифр, начиная с цифры единиц (самой правой цифры, она может быть от 0 до 3). Последняя (самая левая) триада может быть неполной, тогда в неё слева добавляется цифра 0. Затем триады цифр четверичной системы счисления заменяются на соответствующие (по таблице 8-ричных пар и 4-ичных триад) пары цифр восьмеричной системы счисления.
- Перевод 16→4→8
59F16=11 21 334=1121334=112 1334=26 378=26378
Другие системы счисления:[править]
- одиннадцатиричная специальная (цифры:0-9,A);
- двоичная (цифры:0-1);
- троичная (цифры:0-2);
- четверичная (цифры:0-3);
- пятеричная (цифры:0-4);
- шестеричная (цифры:0-5);
- семеричная (цифры:0-6);
- восьмеричная (цифры:0-7);
- девятеричная (цифры:0-8);
- десятичная (цифры:0-9);
- одиннадцатиричная (цифры:0-9,A);
- двенадцатеричная (цифры:0-9,A-B);
- тринадцатеричная (цифры:0-9,A-C);
- четырнадцатеричная (цифры:0-9,A-D);
- пятнадцатеричная (цифры:0-9,A-E);
- шестнадцатеричная (цифры:0-9,A-F).




