Двоичная система счисления
Двоичная система (2-ичная система) — позиционная система счисления с основанием 2.
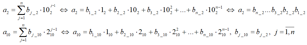
Обозначения:[править]
a2 – натуральное число в двоичной системе счисления;
a10 – натуральное число в десятичной системе счисления;
n – число цифр в числе a2;
bj_2 – j-тая (справа-налево) двоичная цифра числа a2, принимает значения цифр от 0 до 1;
bj_10 – десятичное число соответствующее j-той (справа-налево) двоичной цифре числа a2, принимает значения от 0 до 1.
Формула числа[править]
С помощью n позиций в двоичной системе счисления можно записать целые числа в диапазоне от 0 до 2n-1, то есть всего 2n различных чисел.
Таблицы сложения:[править]
Таблица сложения в двоичной системе счисления[править]
Таблица сложения в десятичной системе счисления[править]
Таблицы умножения:[править]
Таблица умножения в двоичной системе счисления[править]
Таблица умножения в десятичной системе счисления[править]
Таблицы перевода:[править]
Таблица 2-ичных пар[править]
| Цифра | 0 | 1 | 2 | 3 |
|---|---|---|---|---|
| Пара | 00 | 01 | 10 | 11 |
Таблица 2-ичных триад[править]
| Цифра | 0 | 1 | 2 | 3 | 4 | 5 | 6 | 7 |
|---|---|---|---|---|---|---|---|---|
| Триада | 000 | 001 | 010 | 011 | 100 | 101 | 110 | 111 |
Таблица 2-ичных тетрад[править]
| Цифра | 0 | 1 | 2 | 3 | 4 | 5 | 6 | 7 | 8 | 9 | A | B | C | D | E | F |
|---|---|---|---|---|---|---|---|---|---|---|---|---|---|---|---|---|
| Тетрада | 0000 | 0001 | 0010 | 0011 | 0100 | 0101 | 0110 | 0111 | 1000 | 1001 | 1010 | 1011 | 1100 | 1101 | 1110 | 1111 |
Примеры алгоритмов:[править]
Перевод чисел из двоичной системы счисления в четверичную[править]
Исходное число двоичной системы счисления разбивается на пары цифр, начиная с цифры единиц (самой правой). Последняя (самая левая) пара может быть неполной, тогда в неё слева добавляется цифра 0. Затем пары цифр заменяются на соответствующие (по таблице 2-ичных пар) цифры четверичной системы счисления.
Перевод 2→4[править]
101100111112=01 01 10 01 11 112=1121334
Перевод чисел из двоичной системы счисления в восьмеричную[править]
Исходное число двоичной системы счисления разбивается на триады (тройки цифр двоичной системы счисления), начиная с цифры единиц (самой правой). Последняя (самая левая) триада может быть неполной, тогда в неё слева добавляется цифра 0 (одна или две). Затем триады заменяются на соответствующие (по таблице 2-ичных триад) цифры восьмеричной системы счисления.
Перевод 2→8[править]
101100111112=010 110 011 1112=26378
Перевод из двоичной системы счисления в десятичную[править]
Считается сумма произведений цифр двоичной системы счисления на веса разрядов (основание 2 в степени номер разряда, начиная с нулевого; нулевой разряд это разряд единиц, далее разряды десятков, сотен, тысяч и т.д.) в двоичной системе. Полученное число является записью исходного числа в десятичной системе счисления.
Перевод 2→10[править]
101100111112=1˙210+0˙29+1˙28+1˙27+0˙26+0˙25+1˙24+1˙23+1˙22+1˙21+1˙20=1˙1024+0˙512+1˙256+1˙128+0˙64+0˙16+1˙8+1˙4+1˙2+1˙1=
=1024+0+256+128+0+0+8+4+2+1=143910 => 101100111112=143910
Перевод чисел из двоичной системы счисления в шестнадцатеричную[править]
Исходное число двоичной системы счисления разбивается на тетрады (четвёрки цифр двоичной системы счисления), начиная с цифры единиц (самой правой). Последняя (самая левая) тетрада может быть неполной, тогда в неё слева добавляется цифра 0 (одна, две или три). Затем тетрады заменяются на соответствующие (по таблице 2-ичных тетрад) цифры шестнадцатеричной системы счисления.
Перевод 2→16[править]
101100111112=0101 1001 11112=59F16
Перевод чисел из четверичной системы счисления в двоичную[править]
Цифры исходного числа четверичной системы счисления заменяются (слева направо) на соответствующие (по таблице 2-ичных пар) пары цифр двоичной системы счисления. Незначащий нуль первой (самой левой) пары опускается (отбрасывается).
Перевод 4→2[править]
1121334=01 01 10 01 11 112=101100111112
Перевод чисел из восьмеричной системы счисления в двоичную[править]
Цифры исходного числа восьмеричной системы счисления заменяются (слева направо) на соответствующие (по таблице 2-ичных триад) триады (тройки цифр двоичной системы счисления). Незначащие нули первой (самой левой) триады опускаются (отбрасываются).
Перевод 8→2[править]
26378=010 110 011 1112=101100111112
Перевод из десятичной системы счисления в двоичную[править]
Сначала производится последовательное деление столбиком исходного числа и получаемых (от предыдущих делений) частных (больших или равных основанию) на основание 2 и записываются остатки от делений. Деление продолжается до тех пор, пока частное не станет меньше основания 2. Затем выписываются цифры в двоичной системе счисления вместо последнего частного и остатков от делений в обратном (получению) порядке. Полученное число является записью исходного числа в двоичной системе счисления.
Перевод 10→2[править]
Перевод чисел из шестнадцатеричной системы счисления в двоичную[править]
Цифры исходного числа шестнадцатеричной системы счисления заменяются (слева направо) на соответствующие (по таблице 2-ичных тетрад) тетрады (четвёрки цифр двоичной системы счисления). Незначащие нули первой (самой левой) тетрады опускаются (отбрасываются).
Перевод 16→2[править]
59F16=0101 1001 11112=101100111112
Другие системы счисления:[править]
- одиннадцатиричная специальная (цифры:0-9,A);
- двоичная (цифры:0-1);
- троичная (цифры:0-2);
- четверичная (цифры:0-3);
- пятеричная (цифры:0-4);
- шестеричная (цифры:0-5);
- семеричная (цифры:0-6);
- восьмеричная (цифры:0-7);
- девятеричная (цифры:0-8);
- десятичная (цифры:0-9);
- одиннадцатиричная (цифры:0-9,A);
- двенадцатеричная (цифры:0-9,A-B);
- тринадцатеричная (цифры:0-9,A-C);
- четырнадцатеричная (цифры:0-9,A-D);
- пятнадцатеричная (цифры:0-9,A-E);
- шестнадцатеричная (цифры:0-9,A-F).



