Пятнадцатеричная система счисления
Пятнадцатеричная система (15-ричная система) — позиционная система счисления с основанием 15.
Обозначения:[править]
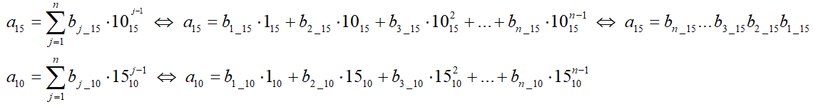
a15 – натуральное число в пятнадцатеричной системе счисления;
a10 – натуральное число в десятичной системе счисления;
n – число цифр в числе a15;
bj_15 – j-тая (справа-налево) пятнадцатеричная цифра числа a15, принимает значения цифр от 0 до 9 и латинских букв от A до E;
bj_10 – десятичное число соответствующее j-той (справа-налево) пятнадцатеричной цифре числа a16, принимает значения от 0 до 14. Буквы A, B, C, D, E имеют значения 1010, 1110, 1210, 1310, 1410 соответственно.
Формула числа[править]
С помощью n позиций в пятнадцатеричной системе счисления можно записать целые числа в диапазоне от 0 до 15n-1, то есть всего 15n различных чисел.
Таблицы сложения:[править]
Таблица сложения в пятнадцатеричной системе счисления[править]
Таблица сложения в десятичной системе счисления[править]
Таблицы умножения:[править]
Таблица умножения в пятнадцатеричной системе счисления[править]
Таблица умножения в десятичной системе счисления[править]
Примеры алгоритмов:[править]
Перевод из пятнадцатеричной системы счисления в десятичную[править]
Считается сумма произведений цифр пятнадцатеричной системы счисления (предварительно переведённых в десятичную систему счисления) на веса разрядов (основание 15 в степени номер разряда, начиная с нулевого; нулевой разряд это разряд единиц, далее разряды десятков, сотен, тысяч и т.д.) в пятнадцатеричной системе. Полученное число является записью исходного числа в десятичной системе счисления.
- Перевод 15→10
65E15=6˙152+5˙151+E˙150=6˙225+5˙15+14˙1=1350+75+14=143910 => 65E15=143910
Перевод из десятичной системы счисления в пятнадцатеричную[править]
Сначала производится последовательное деление столбиком исходного числа и получаемых (от предыдущих делений) частных (больших или равных основанию) на основание 15 и записываются остатки от делений. Деление продолжается до тех пор, пока частное не станет меньше основания 15. Затем выписываются цифры в пятнадцатеричной системе счисления вместо (полученных в десятичной системе счисления) последнего частного и остатков от делений в обратном (получению) порядке. Полученное число является записью исходного числа в пятнадцатеричной системе счисления.
- Перевод 10→15
Другие системы счисления:[править]
- одиннадцатиричная специальная (цифры:0-9,A);
- двоичная (цифры:0-1);
- троичная (цифры:0-2);
- четверичная (цифры:0-3);
- пятеричная (цифры:0-4);
- шестеричная (цифры:0-5);
- семеричная (цифры:0-6);
- восьмеричная (цифры:0-7);
- девятеричная (цифры:0-8);
- десятичная (цифры:0-9);
- одиннадцатиричная (цифры:0-9,A);
- двенадцатеричная (цифры:0-9,A-B);
- тринадцатеричная (цифры:0-9,A-C);
- четырнадцатеричная (цифры:0-9,A-D);
- пятнадцатеричная (цифры:0-9,A-E);
- шестнадцатеричная (цифры:0-9,A-F).



