Медиана непрерывной случайной величины

Материал из Циклопедии
Перейти к навигации Перейти к поиску
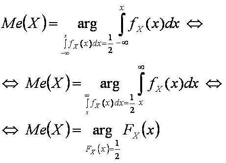
Основные формулы

Медиана, для непрерывной случайной величины — числовая характеристика случайной величины, равная значению (случайной величины) для которого вероятность меньших значений равна вероятности больших значений.

Обозначения[править]

X — случайная величина;

fX(x) — дифференциальная функция распределения — функция плотности вероятности;

FX(x) — интегральная функция распределения — функция вероятности;

Me(X) — медиана.

Формулы[править]

См. также[править]

Другие формулы[править]