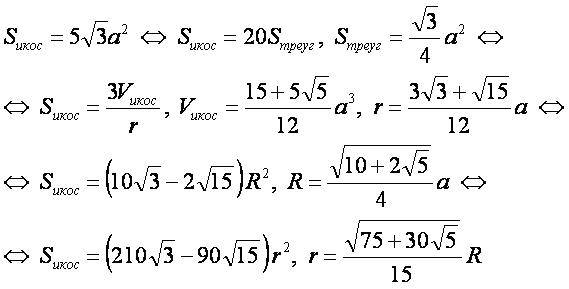
Площадь поверхности икосаэдра — это число, характеризующее икосаэдр в единицах измерения площади.
- a — длина ребра;
- r — радиус вписанной сферы;
- R — радиус описанной сферы;
- Sтреуг — площадь правильного треугольника (грани);
- Vикос — объём икосаэдра;
- Sикос — площадь поверхности икосаэдра.




Площадь других многогранников[править]