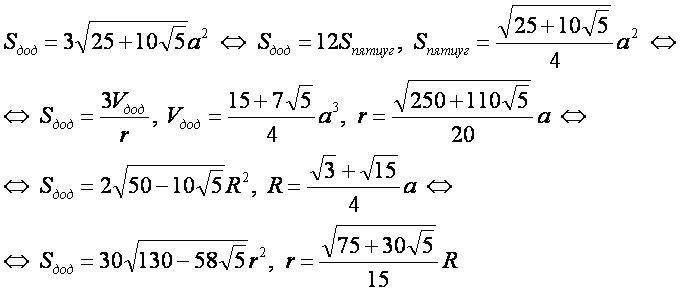
Площадь поверхности додекаэдра — это число, характеризующее додекаэдр в единицах измерения площади.
- a — длина ребра;
- r — радиус вписанной сферы;
- R — радиус описанной сферы;
- Sпятиуг — площадь правильного пятиугольника (грани);
- Vдод — объём додекаэдра;
- Sдод — площадь поверхности додекаэдра.




Площадь других многогранников[править]