Площадь поверхности правильной усечённой пирамиды

Материал из Циклопедии
Перейти к навигации Перейти к поиску
Правильная усечённая пирамида
Геометрия 10 класс. Площадь боковой поверхности правильной усеченной пирамиды // Образование. Обучение — Znaika TV. Знайка.ру [4:52]

Площадь поверхности правильной усечённой пирамиды — это число, характеризующее правильную усечённую пирамиду в единицах измерения площади.

Правильная усечённая пирамида — это (n+2)-гранник с n равными боковыми гранями из равнобедренных трапеций и двумя разными основаниями — правильными n-угольниками.

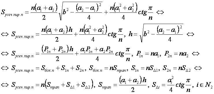
Обозначения[править]

(n+2) — число граней усечённой пирамиды;

2n — число вершин усечённой пирамиды;

a1 — сторона (ребро) меньшего основания;

a2 — сторона (ребро) большего основания;

b — сторона (ребро) боковой грани (трапеции);

H — высота усечённой пирамиды;

h — апофема — высота боковой грани (трапеции);

H1 — высота меньшей пирамиды;

H2 — высота большей пирамиды;

P1n — периметр меньшего основания (правильного n-угольника);

P2n — периметр большего основания (правильного n-угольника);

Sтрап — площадь трапеции (боковой грани);

Sбок.n — боковая площадь усечённой пирамиды;

SΔ1 — площадь равнобедренного треугольника (с основанием равным стороне и вершиной в центре правильного n-угольника) меньшего основания;

SΔ2 — площадь равнобедренного треугольника (с основанием равным стороне и вершиной в центре правильного n-угольника) большего основания;

S1n — площадь меньшего основания (правильного n-угольника));

S2n — площадь большего основания (правильного n-угольника);

Sусеч.пирам.n — площадь поверхности правильной усечённой пирамиды.

Формулы[править]

ПУПИ01.JPG

См. также[править]

Площади других многогранников[править]


Ссылки[править]