Объём правильной усечённой пирамиды

Материал из Циклопедии
Перейти к навигации Перейти к поиску
Правильная усечённая пирамида

Объём правильной усечённой пирамиды — это разность объёмов полной пирамиды и отсечённой части пирамиды.

Правильная усечённая пирамида — это (n + 2)-гранник с n равными боковыми гранями из равнобедренных трапеций и двумя разными основаниями — правильными n-угольниками.

Обозначения[править]

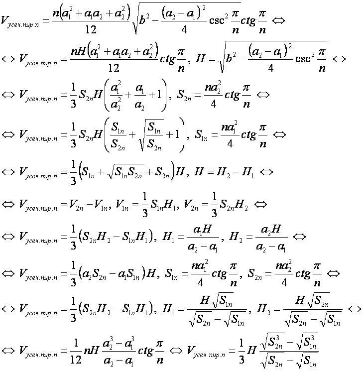
Введём обозначения:

(n + 2) — число граней усечённой пирамиды;

2n — число вершин усечённой пирамиды;

a1 — сторона (ребро) меньшего основания;

a2 — сторона (ребро) большего основания;

b — боковая сторона (ребро) боковой грани (трапеции);

H — высота усечённой пирамиды;

H1 — высота меньшей пирамиды;

H2 — высота большей пирамиды;

S1n — площадь меньшего основания — площадь правильного n-угольника;

S2n — площадь большего основания — площадь правильного n-угольника;

Vпирам1 — объём меньшей пирамиды;

Vпирам2 — объём большей пирамиды;

Vусеч.пирам.n — объём правильной усечённой пирамиды.

Формулы[править]

ОУПИ01.JPG

См. также[править]

Другие многогранники[править]


Литература[править]

  • Бронштейн М. Н., Семендяев К. А., Справочник по математике — М., 1956, стр.173.

Ссылки[править]