Факториал дробного числа. Гамма-функция и бета-функция // Точки Лагранжа [56:21]
Бета-функция — это специальная функция от двух комплексных переменных, имеющая интегральное представление.
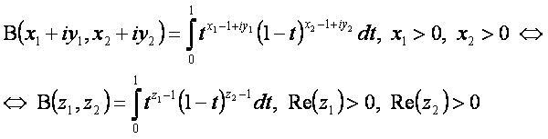
x1 = Re(z1) — действительная часть (абсцисса) первого числа;
y1 = Im(z1) — мнимая часть (ордината) первого числа;
x2 = Re(z2) — действительная часть (абсцисса) второго числа;
y2 = Im(z2) — мнимая часть (ордината) второго числа;
z1 = x1 + iy1 — первое комплексное число;
z2 = x2 + iy2 — второе комплексное число;
t — параметр интегрирования;
φ — параметр интегрирования;
Г(z) — гамма-функция;
B(z1,z2) — бета-функция.
Интеграл Эйлера I рода[править]


Интегральное представление[править]














- Корн Г., Корн Т. Справочник по математике для научных работников и инженеров — М.: Наука, 1970, стр.638.