Возведение комплексного числа в степень натурального числа
(перенаправлено с «Возведение в степень комплексного числа»)
Перейти к навигации
Перейти к поиску
Возведение комплексного числа в степень натурального — результат операции возведения в степень комплексного числа, когда показатель степени — натуральное число.
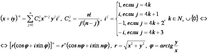
Определяется по формуле Муавра:
Обозначения[править]
x — действительная часть (абсцисса) числа;
y — мнимая часть (ордината) числа;
r — модуль комплексного числа;
φ — аргумент комплексного числа;
n — степень числа;
x + iy — комплексное число.
Формула[править]
Примеры[править]
Другие операции[править]
- сложение чисел;
- вычитание чисел;
- умножение чисел;
- деление чисел;
- обращение числа;
- возведение в степень;
- извлечение квадратного корня;
- извлечение кубического корня;
- извлечение корня n-ой степени;
- логарифмирование числа;
- возведение в комплексную степень;
- тригонометрические функции комплексных чисел;
- гиперболические функции комплексных чисел;
- взятие комплексно сопряжённого числа;
Другие понятия[править]
Литература[править]
- Корн Г., Корн Т. Справочник по математике для научных работников и инженеров — М.: Наука, 1970, стр.36.