Сумма комплексных чисел
Сумма комплексных чисел — результат операции сложения, примененной к паре комплексных чисел.
Геометрически представляет собой комплексное число (вектор на плоскости) с координатами, равными сумме координат чисел-слагаемых, и направлением вектора, совпадающим с направлением главной (исходящей из начала координат) диагонали параллелограмма построенного на векторах этих чисел.
Обозначения[править]
Введём обозначения:
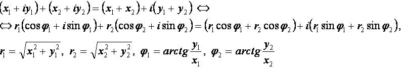
x1 — действительная часть (абсцисса) первого числа;
y1 — мнимая часть (ордината) первого числа;
x2 — действительная часть (абсцисса) второго числа;
y2 — мнимая часть (ордината) второго числа;
r1 — модуль первого числа;
φ1 — аргумент первого числа;
r2 — модуль второго числа;
φ2 — аргумент второго числа;
x1 + iy1 — первое комплексное число;
x2 + iy2 — второе комплексное число.
Формула[править]
- Невозможно разобрать выражение (Ошибка преобразования. Сервер («https://wikimedia.org/api/rest_») сообщил: «Cannot get mml. Server problem.»): {\displaystyle \Leftrightarrow r_{1}(\cos \varphi _{1}+i\sin \varphi _{1})+r_{2}(\cos \varphi _{2}+i\sin \varphi _{2})=(r_{1}\cos \varphi _{1}+r_{2}\cos \varphi _{2})+i(r_{1}\sin \varphi _{1}+r_{2}\sin \varphi _{2}),}
Геометрическая интерпретация[править]
Если представлять комплексные числа x+iy векторами (x; y) на плоскости, то сумма комплексных чисел — это сумма соответствующих векторов.
Другие операции[править]
- сложение чисел;
- вычитание чисел;
- умножение чисел;
- деление чисел;
- обращение числа;
- возведение в степень;
- извлечение квадратного корня;
- извлечение кубического корня;
- извлечение корня n-ой степени;
- логарифмирование числа;
- возведение в комплексную степень;
- тригонометрические функции комплексных чисел;
- гиперболические функции комплексных чисел;
- взятие комплексно сопряжённого числа;
Литература[править]
- Корн Г., Корн Т. Справочник по математике для научных работников и инженеров. М.: Наука, 1970, стр.3б.