Разность комплексных чисел
Разность комплексных чисел — это результат операции вычитания, примененной к паре комплексных чисел. Геометрически представляет собой комплексное число (вектор на плоскости) с координатами, равными разности координат уменьшаемого и вычитаемого, и направлением вектора, исходящим из конца вектора числа-вычитаемого направленным в конец вектора числа-уменьшаемого.
Обозначения[править]
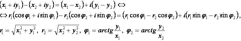
Введём обозначения:
x1 — действительная часть (абсцисса) первого числа;
y1 — мнимая часть (ордината) первого числа;
x2 — действительная часть (абсцисса) второго числа;
y2 — мнимая часть (ордината) второго числа;
r1 — модуль первого числа;
φ1 — аргумент первого числа;
r2 — модуль второго числа;
φ2 — аргумент второго числа;
x1 + iy1 — первое комплексное число;
x2 + iy2 — второе комплексное число.
Формула[править]
Геометрическая интерпретация[править]
Если представлять комплексные числа x+iy векторами (x; y) на плоскости, то разность комплексных чисел — это разность соответствующих векторов.
Другие формулы[править]
- сложение чисел;
- вычитание чисел;
- умножение чисел;
- деление чисел;
- обращение числа;
- возведение в степень;
- извлечение квадратного корня;
- извлечение кубического корня;
- извлечение корня n-ой степени;
- логарифмирование числа;
- возведение в комплексную степень;
- тригонометрические функции комплексных чисел;
- гиперболические функции комплексных чисел;
- взятие комплексно сопряжённого числа;
Литература[править]
- Корн Г., Корн Т. Справочник по математике для научных работников и инженеров. М.: Наука, 1970, стр.3б.