Возведение в комплексную степень комплексного числа
Перейти к навигации
Перейти к поиску
Возведение в комплексную степень комплексного числа — это обобщение операции возведения в степень для комплексных чисел .
Так как определение опирается на логарифм комплексного числа, который является многозначной аналитической функцией, то и функция возведения в комплексную степень — многозначная.
Обозначения[править]
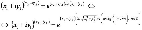
x1 — действительная часть (абсцисса) первого числа;
y1 — мнимая часть (ордината) первого числа;
x2 — действительная часть (абсцисса) второго числа;
y2 — мнимая часть (ордината) второго числа;
x1 + iy1 — первое комплексное число — основание степени;
x2 + iy2 — второе комплексное число — показатель степени;
lnx — натуральный логарифм вещественного числа;
Ln(x + iy) — комплексный натуральный логарифм.
Формула[править]
Примеры[править]
- Невозможно разобрать выражение (Ошибка преобразования. Сервер («https://wikimedia.org/api/rest_») сообщил: «Cannot get mml. Server problem.»): {\displaystyle (-iy)^{x}=e^{x\left(\ln y+{\frac {4n-1}{2}}\pi i\right)},\ x\in \mathbb {R} ,y>0,\ n\in \mathbb {Z} }
- Невозможно разобрать выражение (Ошибка преобразования. Сервер («https://wikimedia.org/api/rest_») сообщил: «Cannot get mml. Server problem.»): {\displaystyle (iy_{1})^{iy_{2}}=e^{y_{2}\left(-{\frac {4n+1}{2}}\pi +i\ln y_{1}\right)},\ y_{1}>0,y_{2}\in \mathbb {R} ,\ n\in \mathbb {Z} }
- Невозможно разобрать выражение (Ошибка преобразования. Сервер («https://wikimedia.org/api/rest_») сообщил: «Cannot get mml. Server problem.»): {\displaystyle (-1)^{i}=e^{-(2n+1)\pi },\ n\in \mathbb {Z} }
- Невозможно разобрать выражение (Ошибка преобразования. Сервер («https://wikimedia.org/api/rest_») сообщил: «Cannot get mml. Server problem.»): {\displaystyle 1^{-i}=e^{2\pi n},\ n\in \mathbb {Z} }
- Невозможно разобрать выражение (Ошибка преобразования. Сервер («https://wikimedia.org/api/rest_») сообщил: «Cannot get mml. Server problem.»): {\displaystyle i^{i}=e^{-{\frac {4n+1}{2}}\pi },\ n\in \mathbb {Z} }
- Невозможно разобрать выражение (Ошибка преобразования. Сервер («https://wikimedia.org/api/rest_») сообщил: «Cannot get mml. Server problem.»): {\displaystyle (-i)^{-i}=e^{{\frac {4n-1}{2}}\pi },\ n\in \mathbb {Z} }
Другие операции[править]
- сложение чисел;
- вычитание чисел;
- умножение чисел;
- деление чисел;
- обращение числа;
- возведение в степень;
- извлечение квадратного корня;
- извлечение кубического корня;
- извлечение корня n-ой степени;
- логарифмирование числа;
- возведение в комплексную степень;
- тригонометрические функции комплексных чисел;
- гиперболические функции комплексных чисел;
- взятие комплексно сопряжённого числа;
Другие понятия[править]
Литература[править]
- Корн Г., Корн Т. Справочник по математике для научных работников и инженеров. М.: Наука, 1970, стр.623.