Матричная игра

Материал из Циклопедии
Перейти к навигации Перейти к поиску
Математическая модель МИ2

Матричная игра — это задача теории игр — парная игра с нулевой суммой, в которой каждый игрок имеет конечное число чистых стратегий.

Определения[править]

Игра называется парной, если в ней сталкиваются интересы двух противников.

Игра называется с нулевой суммой, если один игрок выигрывает столько, сколько второй проигрывает в той же партии.

Каждая фиксированная стратегия, которую может выбрать игрок, называется его чистой стратегией.

Смешанной стратегией игрока называется набор чистых стратегий, задаваемый вероятностями (относительными частотами) выбора соответствующих чистых стратегий.

Постановка задачи[править]

m — число стратегий первого игрока;

n — число стратегий второго игрока.

aij — элемент платёжной матрицы A – выигрыш первого игрока (соответственно, проигрыш второго игрока), если первый игрок выберет i-ую стратегию, а второй игрок – j-ую стратегию;

pi — вероятность (относительная частота) выбора первым игроком i-ой стратегии;

qj — вероятность (относительная частота) выбора вторым игроком – j-ой стратегии;

P=(p1, p2, …, pm) — смешанная стратегия первого игрока;

Q=(q1, q2, …, qn) — смешанная стратегия второго игрока;

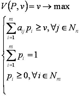
V(P,v)=v — выигрыш первого игрока;

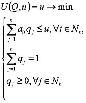
U(Q,u)=u — проигрыш второго игрока.

Задача 1-ого игрока[править]

Задача первого игрока выбрать смешанную стратегию максимизирующую выигрыш.

Задача 2-ого игрока[править]

Задача второго игрока выбрать смешанную стратегию минимизирующую проигрыш.

Невозможно разобрать выражение (Ошибка преобразования. Сервер («https://wikimedia.org/api/rest_») сообщил: «Cannot get mml. Server problem.»): {\displaystyle U(Q,u)=u\rightarrow \min }

Невозможно разобрать выражение (Ошибка преобразования. Сервер («https://wikimedia.org/api/rest_») сообщил: «Cannot get mml. Server problem.»): {\displaystyle {\begin{cases}\sum \limits _{j=1}^{n}a_{ij}q_{j}\leq u,\forall i\in N_{m}\\\sum \limits _{j=1}^{n}q_{j}=1\\q_{j}\geq 0,\forall j\in N_{n}\end{cases}}}

Эквивалентная задача[править]

Введём обозначения:

D(Y)=1/v — обратная величина выигрыша первого игрока;

L(X)=1/u — обратная величина проигрыша второго игрока.

yi=pi/v — относительная величина выбора первым игроком i-ой стратегии;

xj=qj/u — относительная величина выбора вторым игроком j-ой стратегии.

Эквивалентная задача 1-ого игрока[править]

Задача первого игрока минимизировать обратную величину своего выигрыша.

Невозможно разобрать выражение (Ошибка преобразования. Сервер («https://wikimedia.org/api/rest_») сообщил: «Cannot get mml. Server problem.»): {\displaystyle D(Y)=\sum _{i=1}^{m}y_{i}\rightarrow \min }

Невозможно разобрать выражение (Ошибка преобразования. Сервер («https://wikimedia.org/api/rest_») сообщил: «Cannot get mml. Server problem.»): {\displaystyle {\begin{cases}\sum \limits _{i=1}^{m}a_{ij}y_{i}\geq 1,\forall j\in N_{n}\\y_{i}\geq 0,\forall i\in N_{m}\end{cases}}}

Эквивалентная задача 2-ого игрока[править]

Задача второго игрока максимизировать обратную величину своего проигрыша.

Невозможно разобрать выражение (Ошибка преобразования. Сервер («https://wikimedia.org/api/rest_») сообщил: «Cannot get mml. Server problem.»): {\displaystyle L(X)=\sum _{j=1}^{n}x_{j}\rightarrow \max }

Невозможно разобрать выражение (Ошибка преобразования. Сервер («https://wikimedia.org/api/rest_») сообщил: «Cannot get mml. Server problem.»): {\displaystyle {\begin{cases}\sum \limits _{j=1}^{n}a_{ij}x_{j}\leq 1,\forall i\in N_{m}\\x_{j}\geq 0,\forall j\in N_{n}\end{cases}}}

Эквивалентные задачи являются парой двойственных задач линейного программирования.

Другие разделы[править]


Литература[править]

  • Справочник по математике для экономистов. Под ред. проф. В.И.Ермакова. М.: Высшая школа, 1987.
 
Определения

Некооперативная игра · Кооперативная игра · Матричная игра · Антагонистическая игра · Стохастическая игра · Дифференциальные игры · Игрок · Стратегия · Доминирование стратегий · Безвыигрышная ситуация

Принципы
оптимальности

Равновесие Нэша · Эффективность по Парето · Равновесие в доминирующих стратегиях · Решение по доминированию · Равновесие дрожащей руки · Равновесие, совершенное по под-играм · Собственное равновесие · Сильное равновесие · Эпсилон-равновесие · Коррелированное равновесие · Секвенциальное равновесие · Доминирование по риску · Эволюционно стабильная стратегия

Примеры игр

Дилемма заключённого · Дилемма победы · Трагедия общин · Модель Бертрана · Модель Курно · Модель Штакельберга · Игра «Ястребы и голуби»

Другое

критерий Байеса · критерий Вальда · критерий Гурвица · критерий Лапласа · критерий Сэвиджа