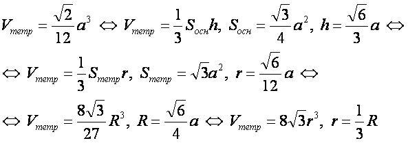
Объём правильного тетраэдра

Материал из Циклопедии
Перейти к навигации Перейти к поиску
Тетраэдр

Объём правильного тетраэдра — это число, характеризующее правильный тетраэдр в единицах измерения объёма.

Правильный тетраэдр — это тетраэдр (четырёхгранник) с равными гранями из правильных треугольников.

Обозначения[править]

a — длина ребра;
h — высота;
r — радиус вписанной сферы;
R — радиус описанной сферы;
Sосн — площадь основания;
Sтетр — площадь поверхности тетраэдра;
Vтетр — объём тетраэдра.

Формулы[править]

ОПТЕ01.JPG

См. также[править]

Другие многогранники[править]


Другие формулы[править]


Ссылки[править]