Объём правильной пирамиды

Материал из Циклопедии
Перейти к навигации Перейти к поиску
Правильная пирамида

Объём правильной пирамиды — это число, характеризующее правильную пирамиду в единицах измерения объёма.

Правильная пирамида — это (n + 1)−гранник с n равными боковыми гранями из равнобедренных треугольников и основанием — правильным n−угольником.

Обозначения[править]

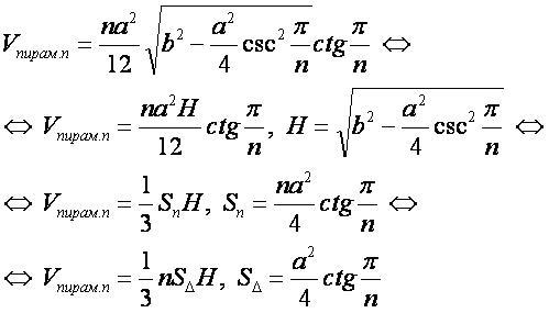
Введём обозначения:

(n+1) — число граней пирамиды (число вершин);

a — сторона основания (ребро);

b — боковая сторона (ребро);

H — высота пирамиды;

SΔ — площадь равнобедренного треугольника при основании;

Sn — площадь основания (правильного n-угольника);

Vпирам.n  — объём пирамиды.

Формулы[править]

ОПИР01.JPG

См. также[править]

Другие многогранники[править]


Ссылки[править]