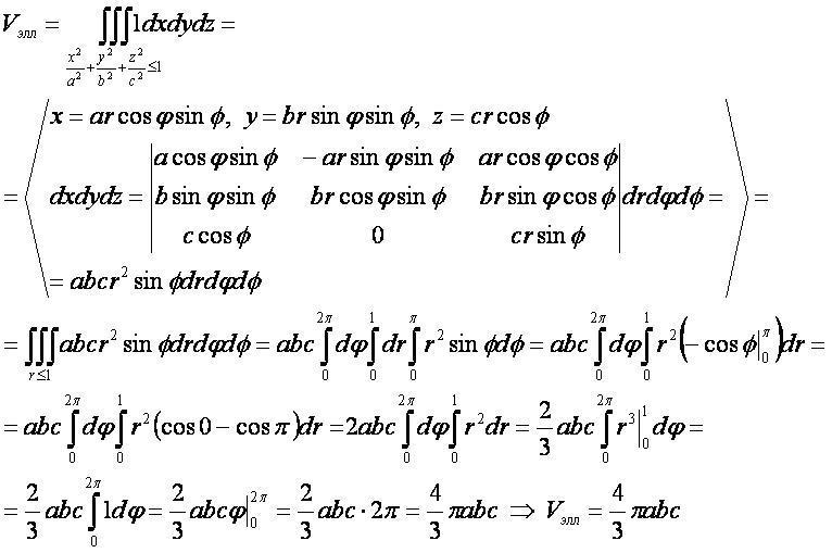
Объём эллипсоида
Перейти к навигации
Перейти к поиску
Объём эллипсоида — число, характеризующее эллипсоид в единицах измерения объёма.
Обозначения[править]
- a — первая (большая) полуось;
- b — вторая (средняя) полуось;
- c — третья (малая) полуось;
- Vэлл — объём эллипсоида.
Формула[править]
Вывод формулы[править]
- Для вывода используется формула «объём трёхмерной фигуры» в прямоугольных координатах.
- Для нахождения интеграла используется метод замены переменных с переходом к сферическим координатам.
Другие фигуры[править]