Доказательство неравенства r-степени числа
Перейти к навигации
Перейти к поиску
Доказательство неравенства r-степени числа.
Обозначения[править]
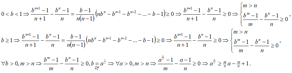
- m, n – натуральные числа, m>n;
- p – рациональное число больше 1, p=m/n;
- q – иррациональное число больше 1;
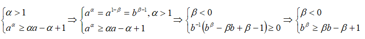
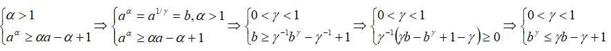
- r, α, β, γ – действительные числа, α>1, β<0, 0<γ<1;
- a, b – положительные действительные числа.
Формула неравенства[править]
Доказательство[править]
Рассмотрим случаи.
Сначала докажем неравенство для положительных рациональных степеней больше 1.
Неравенство для положительных иррациональных степеней больше 1 вытекает из полученного при p→q.
Подстановка áα=á1-β=b́β-1 или a=b́-1 при α>1 приводит к неравенству при β<0:
Подстановка áα=á1/γ=b при α>1 приводит к противоположному неравенству при 0<γ<1:
Другие доказательства:[править]
- неравенство n-степени числа;
- неравенство n-факториала и n-степени двух;
- неравенство r-степени числа;
- неравенство Маркова для дискретной случайной величины;
- неравенство Маркова для непрерывной случайной величины;
- неравенство степеней n и n+1 для чисел;
- неравенство степеней n и n+1 для единиц с обратными числами;
- неравенство трёх квадратов;
- неравенство трёх кубов;
- неравенство трёх попарных отношений;
- неравенство Чебышёва для дискретной случайной величины;
- неравенство Чебышёва для непрерывной случайной величины;
- неравенство n-степени числа для неравенства Бернулли;
- неравенство r-степени числа для обобщённого неравенства Бернулли;
- неравенство Бернулли для неравенства n-степени числа;
- неравенство Коши для неравенства n-факториала и среднего арифметического;
- неравенство Коши для неравенства n-факториала и среднего квадратического;
- неравенство Коши для неравенства n-факториала и среднего кубического;
- неравенство Коши для неравенства факториала нечётного числа;
- обобщённое неравенство Бернулли для неравенства r-степени числа;
- ММИ для неравенства n-факториала и n-степени двух;
- ММИ для неравенства Бернулли;
- ММИ для неравенства произведения n-факториала и двойного факториала нечётного числа;
- ММИ для неравенства произведения n факториалов чётных чисел;
- ММИ для неравенства суммы обратных корней n натуральных чисел со знаком больше;
- ММИ для неравенства суммы обратных корней n натуральных чисел со знаком меньше;
- ММИ для неравенства суммы обратных n натуральных чисел, начиная с числа n+1;
- ММИ для неравенства факториала чётного числа.
Литература[править]
- Беккенбах Э., Беллман Р. Неравенства. М.: КомКнига, под ред. В.И.Левина, Изд.2, 2007, стр.24.



