Доказательство неравенством Коши неравенства n-факториала и среднего кубического
Перейти к навигации
Перейти к поиску
Доказательство неравенством Коши неравенства n-факториала и среднего кубического использует неравенство Коши.
Обозначения[править]
- n – число натуральных чисел;
- i3 – куб i-го натурального числа.
- xi – неотрицательное число;
- n! – факториал натурального числа n.
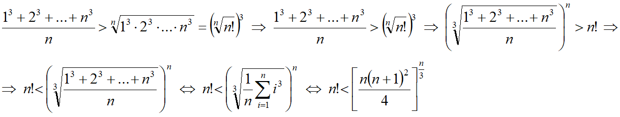
Формула неравенства[править]
Доказательство[править]
Возьмём неравенство Коши.
Учтём из доказательства неравенства Коши методом Штурма, что для неравных xi неравенство выполняется как строгое.
Полагая, что xi=i3 , получаем.
ч.т.д.
Эквивалентные формулы получаем, учитывая формулу суммы кубов n натуральных чисел.
Другие доказательства:[править]
- неравенство n-степени числа;
- неравенство n-факториала и n-степени двух;
- неравенство r-степени числа;
- неравенство Маркова для дискретной случайной величины;
- неравенство Маркова для непрерывной случайной величины;
- неравенство степеней n и n+1 для чисел;
- неравенство степеней n и n+1 для единиц с обратными числами;
- неравенство трёх квадратов;
- неравенство трёх кубов;
- неравенство трёх попарных отношений;
- неравенство Чебышёва для дискретной случайной величины;
- неравенство Чебышёва для непрерывной случайной величины;
- неравенство n-степени числа для неравенства Бернулли;
- неравенство r-степени числа для обобщённого неравенства Бернулли;
- неравенство Бернулли для неравенства n-степени числа;
- неравенство Коши для неравенства n-факториала и среднего арифметического;
- неравенство Коши для неравенства n-факториала и среднего квадратического;
- неравенство Коши для неравенства n-факториала и среднего кубического;
- неравенство Коши для неравенства факториала нечётного числа;
- обобщённое неравенство Бернулли для неравенства r-степени числа;
- ММИ для неравенства n-факториала и n-степени двух;
- ММИ для неравенства Бернулли;
- ММИ для неравенства произведения n-факториала и двойного факториала нечётного числа;
- ММИ для неравенства произведения n факториалов чётных чисел;
- ММИ для неравенства суммы обратных корней n натуральных чисел со знаком больше;
- ММИ для неравенства суммы обратных корней n натуральных чисел со знаком меньше;
- ММИ для неравенства суммы обратных n натуральных чисел, начиная с числа n+1;
- ММИ для неравенства факториала чётного числа.
Литература[править]
- Беккенбах Э., Беллман Р. Неравенства. М.: КомКнига, под ред. В. И. Левина, Изд.2, 2007, стр.81.


