Коэффициент Гатева
Перейти к навигации
Перейти к поиску
Коэффициент Гатева — число от 0 до 1, характеризующее структурные изменения (сдвиги) удельных весов элементов (групп) совокупности.
Чем ближе значение коэффициента к 1, тем сильнее различия в структуре.
Предложен К. Гатевым.
Обозначения:[править]
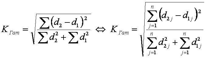
n — число элементов (групп) совокупности;
j — номер (индекс) элемента (группы) совокупности;
d1, d1j — удельные веса j-ого элемента (группы) первой совокупности;
d2, d2j — удельные веса j-ого элемента (группы) второй совокупности;
KГат — коэффициент К. Гатева.
Формула[править]
Другие коэффициенты:[править]
- коэффициент вариации;
- линейный коэффициент вариации;
- коэффициент ковариации;
- коэффициент осцилляции;
- коэффициент парной корреляции;
- коэффициент множественной корреляции;
- коэффициент уравнения линейной регрессии;
- коэффициент уравнения множественной регрессии;
- коэффициент ранговой корреляции Спирмена;
- коэффициент ранговой корреляции Кендалла;
- коэффициент корреляции Фехнера;
- коэффициент детерминации;
- коэффициент конкордации Кендалла;
- коэффициент ассоциации;
- коэффициент контингенции;
- коэффициент взаимной сопряжённости;
- коэффициент взаимной сопряжённости Пирсона;
- коэффициент взаимной сопряжённости Чупрова;
- коэффициент дифференциации;
- коэффициент Гатева;
- коэффициент Салаи;
- коэффициент Рябцева.