Коэффициент множественной корреляции
Перейти к навигации
Перейти к поиску
Коэффициент множественной корреляции — это некоторое число от 0 до 1, характеризующее тесноту линейной корреляционной связи между зависимой случайной величиной и множеством независимых случайных величин.
Обозначения:[править]
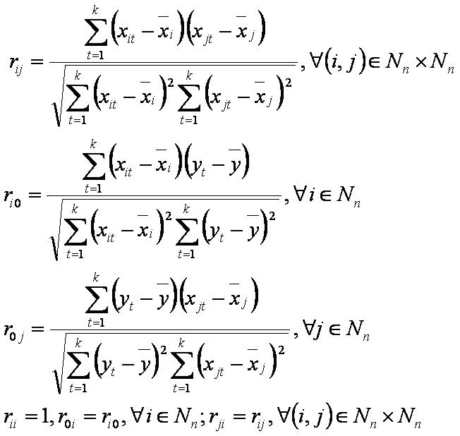
n — число независимых случайных величин;
k — число наблюдений;
yt — t–ое наблюдаемое значение зависимой случайной величины;
xit — t–ое наблюдаемое значение i–ой независимой случайной величины;
rij — коэффициент парной корреляции i–ой и j–ой независимых случайных величин;
ri0 — коэффициент парной корреляции i–ой независимой случайной величины и зависимой случайной величины;
r0j — коэффициент парной корреляции зависимой случайной величины и j–ой независимой случайной величины;
Ryx1x2…xn — коэффициент множественной корреляции.
Формула[править]
где
Другие коэффициенты:[править]
- коэффициент вариации;
- линейный коэффициент вариации;
- коэффициент ковариации;
- коэффициент осцилляции;
- коэффициент парной корреляции;
- коэффициент множественной корреляции;
- коэффициент уравнения линейной регрессии;
- коэффициент уравнения множественной регрессии;
- коэффициент ранговой корреляции Спирмена;
- коэффициент ранговой корреляции Кендалла;
- коэффициент корреляции Фехнера;
- коэффициент детерминации;
- коэффициент конкордации Кендалла;
- коэффициент ассоциации;
- коэффициент контингенции;
- коэффициент взаимной сопряжённости;
- коэффициент взаимной сопряжённости Пирсона;
- коэффициент взаимной сопряжённости Чупрова;
- коэффициент дифференциации;
- коэффициент Гатева;
- коэффициент Салаи;
- коэффициент Рябцева.
Ссылки[править]
- Википедия. Множественный коэффициент корреляции.
- Участник:Logic-samara