Обобщённое неравенство Бернулли
Перейти к навигации
Перейти к поиску
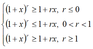
Обобщённое неравенство Бернулли — неравенство, гласящее, что действительное число x>-1 в действительной степени r при r≤0 или r≥1 не меньше выражения 1+rx, а при 0<r<1 не больше выражения 1+rx.
Обозначения[править]
- r – действительное число;
- x – действительное число, x>-1;
- a – положительное действительное число.
Формула неравенства[править]
Доказательство[править]
Доказательство неравенством r-степени числа обобщённого неравенства Бернулли
- При x=a-1 обобщённое неравенство Бернулли становится неравенством r-степени числа.
Другие неравенства:[править]
- неравенство n-степени числа;
- неравенство n-факториала и среднего арифметического;
- неравенство n-факториала и среднего квадратического;
- неравенство n-факториала и среднего кубического;
- неравенство n-факториала и n-степени двух;
- неравенство r-степени числа;
- неравенство Бернулли;
- неравенство произведения n факториалов чётных чисел;
- неравенство произведения единицы со степенью числа и степени единицы с числом;
- неравенство произведения отношений нечётных к чётным натуральным числам;
- неравенство произведения n-факториала и двойного факториала нечётного числа;
- неравенство степеней n и n+1 для чисел;
- неравенство степеней n и n+1 для единиц с обратными числами;
- неравенство суммы n-степеней единицы без дроби и единицы с дробью;
- неравенство суммы обратных квадратов n натуральных чисел;
- неравенство суммы обратных корней n натуральных чисел со знаком больше;
- неравенство суммы обратных корней n натуральных чисел со знаком меньше;
- неравенство суммы обратных n натуральных чисел, начиная с числа n+1;
- неравенство трёх квадратов;
- неравенство трёх кубов;
- неравенство трёх попарных отношений;
- неравенство факториала нечётного числа;
- неравенство факториала чётного числа;
- обобщённое неравенство Бернулли;
- неравенство Маркова;
- неравенство Чебышёва.
Литература[править]
- Бронштейн И. Н., Семендяев К. А., Справочник по математике для инженеров и учащихся втузов, — М., Наука, 1985, стр. 212, 544 с.
