Составление лексикографических размещений

Материал из Циклопедии
Перейти к навигации Перейти к поиску

Составление лексикографических размещений — это алгоритм (комбинаторная операция) получения размещений в лексикографическом порядке.

Обозначения[править]

n – число элементов конечного множества;

k – число элементов в размещении;

t – порядковый номер размещения;

{A1,A2,…,Ak} – размещение k номеров элементов множества из n элементов.

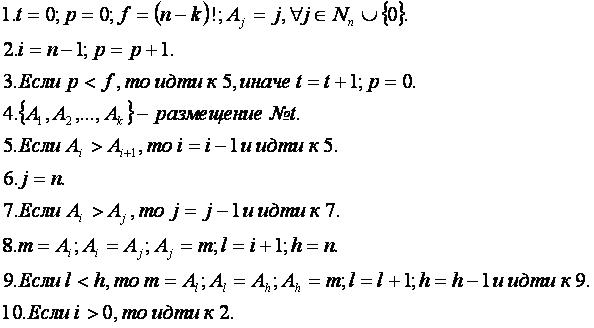
Алгоритм размещений[править]

Входные данные: n, k.

КОМ32.PNG

  • Заметим, что алгоритм лексикографических размещений аналогичен алгоритму лексикографических перестановок. Просто в алгоритме размещений выдаются лишь k элементов из перестановки n элементов и только через (n-k)! перестановок.

Пример[править]

При n=4, k=3 получаем 24 размещения:

КОМ34.JPG

Другие алгоритмы:[править]


Ссылки[править]