Составление сочетаний

Материал из Циклопедии
Перейти к навигации Перейти к поиску

Составление сочетаний — это алгоритм (комбинаторная операция) получения набора k номеров элементов множества, состоящего из n элементов.

Обозначения[править]

n – число элементов конечного множества;

k – число элементов в сочетании;

t – порядковый номер сочетания;

{ C1,C2,…,Ck} – сочетание k номеров элементов множества из n элементов.

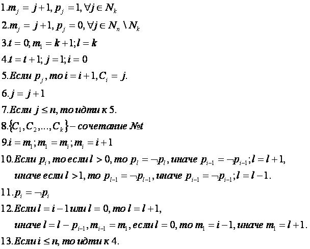
Алгоритм сочетаний[править]

Входные данные: n, k.

КОМ21.JPG

Пример[править]

При n=7, k=3 получаем 35 сочетаний:

КОМ23.JPG

Другие алгоритмы:[править]


Ссылки[править]