Составление следующего размещения

Материал из Циклопедии
Перейти к навигации Перейти к поиску

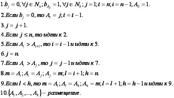
Составление следующего размещения — это алгоритм (комбинаторная операция) получения для размещения следующего в лексикографическом порядке размещения.

Обозначения[править]

n – число элементов конечного множества;

k – число элементов в размещении;

{A1,A2,…,Ak} – размещение k номеров элементов множества из n элементов.

Алгоритм размещений[править]

Входные данные: n; k; {A1,A2,…,Ak}.

КОМ35.PNG

Выходные данные: {A1,A2,…,Ak}.

  • Заметим, что алгоритм для лексикографически последнего размещения даёт, как следующее, первое размещение.

Другие алгоритмы:[править]


Ссылки[править]