Уравнение прямой, проходящей через точку в направлении вектора
Перейти к навигации
Перейти к поиску
Уравнение прямой, проходящей через точку в направлении вектора, задаётся равенством нулю векторного произведения вектора-разности радиусов-векторов соответствующих точек и направляющего вектора.
Обозначения[править]
- — радиус-вектор точки прямой;
- — радиус-вектор точки;
- — направляющий вектор.
Уравнения прямой[править]
Векторная форма[править]
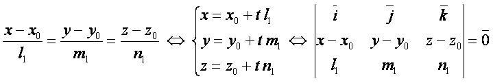
Координатная форма[править]
Другие уравнения:[править]
- общее;
- каноническое;
- параметрическое;
- проходящей через две точки;
- равноудалённой от трёх точек;
- проходящей через точку в направлении вектора;
- проходящей через точку параллельно прямой;
- проходящей через точку перпендикулярно плоскости;
- образованной пересечением двух плоскостей;
- проекции прямой на плоскость;
- перпендикуляра из точки к прямой;
- перпендикуляра из точки к плоскости;
- перпендикуляра к двум прямым.