Предикат

Материал из Циклопедии
Перейти к навигации Перейти к поиску
Информатика. Алгебра логики: Предикаты. Центр онлайн-обучения «Фоксфорд» [5:16]
Лекция 13: Логика предикатов // НОУ ИНТУИТ [11:50]

Предикаты — это предложения, высказывания, соотношения, выражения, функции, относительно которых при заданных аргументах, можно сказать, истинны они или ложны, т.е. они принимают значения из множества {0,1}.

Предикаты обозначаются прописными буквами с перечнем аргументов в скобках (как у функции). Набор аргументов определяется на произвольных множествах. Аргументы обозначаются строчными буквами

Виды предикатов:[править]

  • тождественно-истинный;
  • тождественно-ложный;
  • выполнимый.

Предикат называют тождественно-истинным (тавтологией), если на любом наборе аргументов он принимает значение 1.

Предикат называют тождественно-ложным (противоречием), если на любом наборе аргументов он принимает значение 0.

Предикат называют выполнимым, если хотя бы на одном наборе аргументов он принимает значение 1.

Так как предикаты принимают только два значения, то к ним применимы все логические операции булевой алгебры.

Виды операций:[править]

  • логические операции;
  • кванторные операции.

Логические операции:[править]

  • отрицание;
  • дизъюнкция;
  • конъюнкция;
  • импликация.

Отрицанием предиката A(x) называется новый предикат C(x), который принимает значение истина при всех значениях x из заданного множества, при которых предикат A(x) принимает значение ложь, и принимает значение ложь, если A(x) принимает значение истина.

Дизъюнкцией двух предикатов A(x) и B(x) называется новый предикат C(x), который принимает значение ложь при тех и только тех значениях x из заданного множества, при которых каждый из предикатов принимает значение ложь и принимает значение истина во всех остальных случаях. Областью истинности предиката C(x) является объединение областей истинности предикатов A(x) и B(x).

Конъюнкцией двух предикатов A(x) и B(x) называется новый предикат C(x), который принимает значение истина при тех и только тех значениях х из заданного множества, при которых каждый из предикатов принимает значение истина, и принимает значение ложь во всех остальных случаях. Областью истинности предиката C(x) является пересечение областей истинности предикатов A(x) и B(x).

Импликацией предикатов A(x) и B(x) называется новый предикат C(x), который является ложным при тех и только тех значениях х из заданного множества, при которых A(x) принимает значение истина, а B(x) — значение ложь, и принимает значение истина во всех остальных случаях.

Кванторные операции:[править]

  • квантор общности;
  • квантор существования.

Квантором общности называется операция, по которой предикату A(x) ставится в соответствие высказывание, обозначаемое ЛП01.JPG, которое истинно тогда и только тогда, когда предикат A(x) тождественно истинен.

Высказывание ЛП01.JPG читается: «Для любого х справедливо A(x)».

Квантором существования называется операция, по которой предикату A(x) ставится в соответствие высказывание, обозначаемое ЛП02.JPG, которое ложно тогда и только тогда, когда предикат A(x) тождественно ложен.

Высказывание ЛП02.JPG читается: «Существует такое х (хотя бы одно), что справедливо A(x)».

Формы предикатов:[править]

  • приведённая нормальная форма;
  • предварённая нормальная форма.

Приведённая нормальная форма[править]

ПНФ01.PNG

Предварённая нормальная форма[править]

ПНФ02.JPG

Свойства предикатов[править]

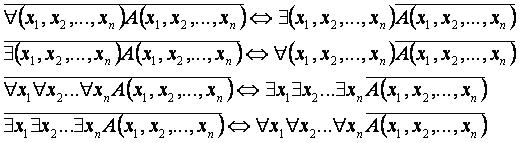
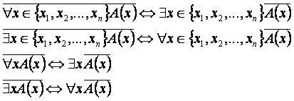
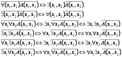
Если предикат A(x) определён на множестве, состоящем из конечного числа элементов x1, x2, …, xn, то квантор общности можно трактовать как конъюнкцию всех возможных из него высказываний, а квантор существования – как дизъюнкцию этих высказываний.

ЛП10.JPG

Отсюда, применяя отрицание, получаем эквиваленции:

ЛП11.JPG

ЛП12.PNG

ЛП13.JPG

Другие понятия[править]


Ссылки[править]