Трёхмерная карта Карно

Материал из Циклопедии
Перейти к навигации Перейти к поиску

Трёхмерная карта Карно — это таблица истинности определённого вида для логической функции пяти или шести переменных. Трёхмерная карта Карно является обобщением карты Карно и используется для минимизации нормальной формы булевых функций, т.е. для построения МДНФ и МКНФ.

Виды трёхмерных карт Карно:[править]

Для функции пяти переменных[править]

КК05.PNG

Для функции шести переменных[править]

КК06.PNG

  • Заметим, что в трёхмерных картах Карно наборы аргументов в соседних строках, столбцах и таблицах (включая первые и последние) отличаются значением одного аргумента.
  • Для функции шести переменных вторая и третья таблицы являются соседними. Четвёртая таблица последняя.

Примеры использования трёхмерных карт Карно:[править]

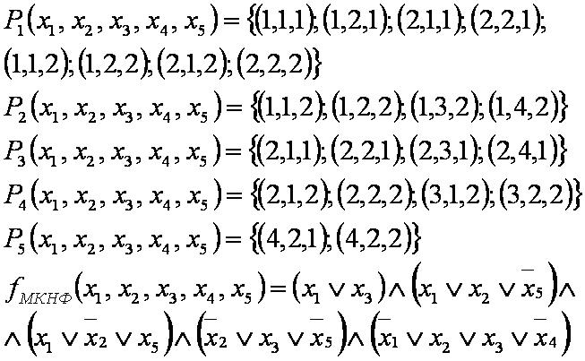
Функция пяти переменных[править]

ЛФ51.JPG

Строим трёхмерную карту Карно для функции пяти переменных

КК35.JPG

Построение МДНФ[править]

Покрываем единицы карты Карно наименьшим числом параллелепипедов с рёбрами длиной 2n.

МДНФ23.JPG

Единицы трёхмерной карты Карно минимально покрываются параллелепипедами вида 2х2х2, 2х2х1 (два), 1х4х1, 1х2х2, что соответствует одной элементарной конъюнкции двух аргументов и четырём элементарным конъюнкциям трёх аргументов. Заметим, что крайние по сторонам и угловые фигуры объединяются.

МДНФ13.PNG

Построение МКНФ[править]

Покрываем нули карты Карно наименьшим числом параллелепипедов с рёбрами длиной 2n.

МКНФ23.JPG

Нули трёхмерной карты Карно минимально покрываются параллелепипедами вида 2х2х2, 1х4х1 (два), 2х2х1, 1х1х2, что соответствует одной элементарной дизъюнкции двух аргументов, трём элементарным дизъюнкциям трёх аргументов и одной элементарной дизъюнкции четырёх аргументов. Заметим, что соответствующие равные фигуры в разных таблицах объединяются.

МКНФ13.JPG

Функция шести переменных[править]

ЛФ61.JPG

Строим трёхмерную карту Карно для функции шести переменных

КК36.PNG

Построение МДНФ[править]

Покрываем единицы карты Карно наименьшим числом параллелепипедов с рёбрами длиной 2n.

МДНФ24.JPG

Единицы трёхмерной карты Карно минимально покрываются параллелепипедами вида 2х2х4, 1х4х2 (два), 4х1х2 (два), 1х1х2, что соответствует одной элементарной конъюнкции двух аргументов, четырём элементарным конъюнкциям трёх аргументов и одной элементарной конъюнкции пяти аргументов. Заметим, Заметим, что соответствующие равные фигуры в разных таблицах объединяются.

МДНФ14.JPG

Построение МКНФ[править]

Покрываем нули карты Карно наименьшим числом параллелепипедов с рёбрами длиной 2n.

МКНФ24.JPG

Нули трёхмерной карты Карно минимально покрываются параллелепипедами вида 1х2х4, 2х1х4, 2х2х2 (три), 2х1х2, 1х2х2, что соответствует пяти элементарным дизъюнкциям трёх аргументов и двум элементарным дизъюнкциям четырёх аргументов. Заметим, что соответствующие равные фигуры в разных таблицах объединяются.

МКНФ14.PNG

Другие понятия[править]


Ссылки[править]