Гипотеза о равенстве нескольких дисперсий
Перейти к навигации
Перейти к поиску
Гипотеза о равенстве нескольких дисперсий — гипотеза о том, что дисперсии k-совокупностей равны.
Обозначения[править]
— число совокупностей или выборок , ;
— число значений в выборке ;
— дисперсия генеральной совокупности ;
— средняя в выборке , ;
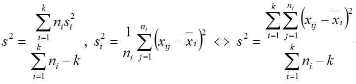
— дисперсия выборки ;
— среднеквадратическое отклонение в выборке , ;
α — уровень значимости — вероятность ошибки 1-го рода;
X2 — переменная X2-распределения.
FX2(X2,k-1) — интегральная функция X2-распределения.
Гипотезы о дисперсиях[править]
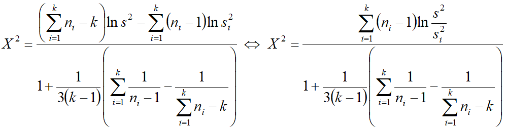
— критерий Бартлетта — статистика, имеющая X2-распределение, где
Пример 1[править]
- альтернативная гипотеза;
— критерий отклонения гипотезы H0.
Другие гипотезы:[править]
- Гипотеза о средней равной числу при известной дисперсии;
- Гипотеза о средней равной числу при неизвестной дисперсии;
- Гипотеза о дисперсии равной числу при известной средней;
- Гипотеза о дисперсии равной числу при неизвестной средней;
- Гипотеза о равенстве дисперсий;
- Гипотеза о равенстве межгрупповой и внутригрупповой дисперсий;
- Гипотеза о равенстве нескольких дисперсий;
- Гипотеза о равенстве средних при известной дисперсии;
- Гипотеза о равенстве средних при неизвестной дисперсии;
- Гипотеза о равенстве средних при неизвестных дисперсиях;
- Гипотеза о равенстве разности средних числу при известных дисперсиях;
- Гипотеза о вероятности равной числу;
- Гипотеза о равенстве вероятностей;
- Гипотеза о нормальном законе распределения;
- Гипотеза об отсутствии линейной корреляционной связи;
- Гипотеза о коэффициенте линейного уравнения регрессии равном нулю;
- Гипотеза о коэффициенте линейного уравнения множественной регрессии равном нулю;
- Гипотеза о значимости линейного уравнения регрессии;
- Гипотеза о значимости линейного уравнения множественной регрессии;
- Гипотеза о коэффициенте корреляции равном числу;
- Гипотеза о коэффициенте корреляции равном нулю;
- Гипотеза о равенстве коэффициентов корреляции.
