Гипотеза о вероятности равной числу
Гипотеза о вероятности равной числу — гипотеза о том, что вероятность равна заданному числу.
Для нормально распределённой случайной величины использует статистику, имеющую стандартизованное распределение, N(0;1).
Обозначения[править]
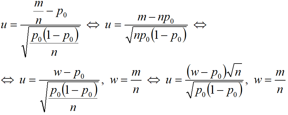
n — число значений в выборке;
m — частота значений альтернативного признака среди n значений в выборке;
p0 — положительная дробь;
p — вероятность значений альтернативного признака;
np — математическое ожидание частоты альтернативного признака;
σ — среднеквадратическое отклонение альтернативного признака;
D=np(1-p) — дисперсия альтернативного признака;
α — уровень значимости — вероятность ошибки 1-го рода;
γ=1-α — коэффициент доверия;
x — переменная стандартизованной случайной величины;
u — статистика, распределённая по нормальному закону N(0;1);
— интегральная функция нормального закона распределения стандартизованной случайной величины;
— интегральная функция Лапласа, отличается от интегральной функции нормального закона для стандартизованной случайной величины на 0,5, т.е. Ф(x)=F(x)-0,5.
Гипотезы о вероятности[править]
— статистика, распределённая по нормальному закону N(0;1).
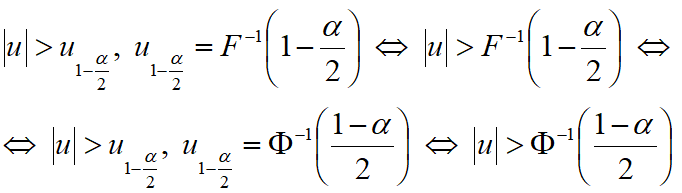
Пример 1[править]
H0:p=p0;
H1:p≠p0;
— критерий отклонения гипотезы H0.
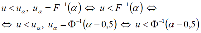
Пример 2[править]
H0:p=p0;
H1:p>p0;
— критерий отклонения гипотезы H0.
- Заметим, что u1-α=-uα.
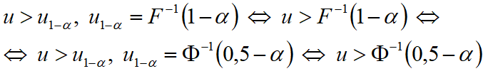
Пример 3[править]
H0:p=p0;
H1:p<p0;
— критерий отклонения гипотезы H0.
- Заметим, что uα=-u1-α.
Другие гипотезы[править]
- Гипотеза о средней равной числу при известной дисперсии;
- Гипотеза о средней равной числу при неизвестной дисперсии;
- Гипотеза о дисперсии равной числу при известной средней;
- Гипотеза о дисперсии равной числу при неизвестной средней;
- Гипотеза о равенстве дисперсий;
- Гипотеза о равенстве межгрупповой и внутригрупповой дисперсий;
- Гипотеза о равенстве нескольких дисперсий;
- Гипотеза о равенстве средних при известной дисперсии;
- Гипотеза о равенстве средних при неизвестной дисперсии;
- Гипотеза о равенстве средних при неизвестных дисперсиях;
- Гипотеза о равенстве разности средних числу при известных дисперсиях;
- Гипотеза о вероятности равной числу;
- Гипотеза о равенстве вероятностей;
- Гипотеза о нормальном законе распределения;
- Гипотеза об отсутствии линейной корреляционной связи;
- Гипотеза о коэффициенте линейного уравнения регрессии равном нулю;
- Гипотеза о коэффициенте линейного уравнения множественной регрессии равном нулю;
- Гипотеза о значимости линейного уравнения регрессии;
- Гипотеза о значимости линейного уравнения множественной регрессии;
- Гипотеза о коэффициенте корреляции равном числу;
- Гипотеза о коэффициенте корреляции равном нулю;
- Гипотеза о равенстве коэффициентов корреляции.
Литература[править]
- Кремер Н.Ш. Теория вероятностей и математическая статистика. М.: Юнити, 2004, стр.369.