Гипотеза о дисперсии равной числу при неизвестной средней
Гипотеза о дисперсии равной числу при неизвестной средней — гипотеза о том, что при неизвестной средней, дисперсия равна заданному числу.
Для нормально распределённой случайной величины использует статистику, имеющую X2-распределение.
Обозначения[править]
n — число значений в выборке;
D0=σ02 — положительное число;
DГ — дисперсия генеральной совокупности;
— средняя выборки, ;
s — среднеквадратическое отклонение выборки, ;
DВ=s2 — дисперсия выборки;
α — уровень значимости — вероятность ошибки 1-го рода;
γ=1-α — коэффициент доверия;
X2 — переменная X2-распределения;
k — число степеней свободы, k=n-1;
FX2(X2,k) — интегральная функция X2-распределения;
X2табл=FX2-1(1-αтабл,k) — табличное значение для X2;
FX2табл(αтабл,k)=P(X2>X21-αтабл,k) — табличное значение FX2табл.
Гипотезы о дисперсии[править]
— статистика, имеющая X2-распределение.
Пример 1[править]
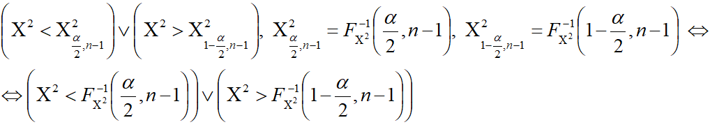
— критерий отклонения гипотезы H0.
Пример 2[править]
— критерий отклонения гипотезы H0.
Пример 3[править]
— критерий отклонения гипотезы H0.
Другие гипотезы[править]
- Гипотеза о средней равной числу при известной дисперсии;
- Гипотеза о средней равной числу при неизвестной дисперсии;
- Гипотеза о дисперсии равной числу при известной средней;
- Гипотеза о дисперсии равной числу при неизвестной средней;
- Гипотеза о равенстве дисперсий;
- Гипотеза о равенстве межгрупповой и внутригрупповой дисперсий;
- Гипотеза о равенстве нескольких дисперсий;
- Гипотеза о равенстве средних при известной дисперсии;
- Гипотеза о равенстве средних при неизвестной дисперсии;
- Гипотеза о равенстве средних при неизвестных дисперсиях;
- Гипотеза о равенстве разности средних числу при известных дисперсиях;
- Гипотеза о вероятности равной числу;
- Гипотеза о равенстве вероятностей;
- Гипотеза о нормальном законе распределения;
- Гипотеза об отсутствии линейной корреляционной связи;
- Гипотеза о коэффициенте линейного уравнения регрессии равном нулю;
- Гипотеза о коэффициенте линейного уравнения множественной регрессии равном нулю;
- Гипотеза о значимости линейного уравнения регрессии;
- Гипотеза о значимости линейного уравнения множественной регрессии;
- Гипотеза о коэффициенте корреляции равном числу;
- Гипотеза о коэффициенте корреляции равном нулю;
- Гипотеза о равенстве коэффициентов корреляции.
Литература[править]
- Корн Г., Корн Т. Справочник по математике для научных работников и инженеров. М.: Наука, 1970, стр.561.