Гипотеза о равенстве средних при неизвестных дисперсиях
Гипотеза о равенстве средних при неизвестных дисперсиях — гипотеза о том, что при неизвестных неравных дисперсиях, средние двух совокупностей равны.
Для нормально распределённой случайной величины использует статистику, имеющую t-распределение Стьюдента.
Обозначения[править]
nx — число значений в выборке X;
ny — число значений в выборке Y;
n — число значений в меньшей выборке n=min{nx,ny};
— средняя генеральной совокупности X;
— средняя генеральной совокупности Y;
— средняя в выборке X, ;
— средняя в выборке Y, ;
sx — среднеквадратическое отклонение в выборке X, ;
sy — среднеквадратическое отклонение в выборке Y, ;
α — уровень значимости — вероятность ошибки 1-го рода;
γ=1-α — коэффициент доверия;
t — переменная распределения Стьюдента;
k — число степеней свободы, k≈n-1;
FСт(t,k) — интегральная функция распределения Стьюдента.
tтабл=FСт-1(1-αтабл/2,k) — табличное значение для t;
FСт_табл(αтабл,k)=P(|t|>t1-αтабл,k) — табличное значение FСт_табл.
Гипотезы о средней[править]
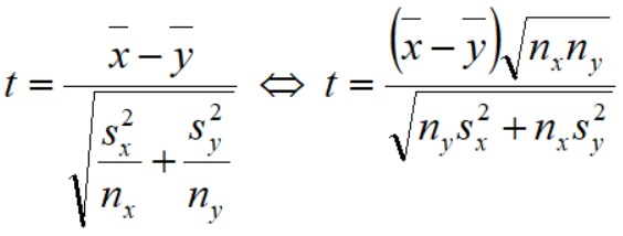
— статистика, имеющая распределение Стьюдента.
Пример 1[править]
— критерий отклонения гипотезы H0.
Пример 2[править]
— критерий отклонения гипотезы H0.
- Заметим, что t1-α,n-1=-tα,n-1.
Пример 3[править]
— критерий отклонения гипотезы H0.
- Заметим, что tα,n-1=-t1-α,n-1.
Другие гипотезы:[править]
- Гипотеза о средней равной числу при известной дисперсии;
- Гипотеза о средней равной числу при неизвестной дисперсии;
- Гипотеза о дисперсии равной числу при известной средней;
- Гипотеза о дисперсии равной числу при неизвестной средней;
- Гипотеза о равенстве дисперсий;
- Гипотеза о равенстве межгрупповой и внутригрупповой дисперсий;
- Гипотеза о равенстве нескольких дисперсий;
- Гипотеза о равенстве средних при известной дисперсии;
- Гипотеза о равенстве средних при неизвестной дисперсии;
- Гипотеза о равенстве средних при неизвестных дисперсиях;
- Гипотеза о равенстве разности средних числу при известных дисперсиях;
- Гипотеза о вероятности равной числу;
- Гипотеза о равенстве вероятностей;
- Гипотеза о нормальном законе распределения;
- Гипотеза об отсутствии линейной корреляционной связи;
- Гипотеза о коэффициенте линейного уравнения регрессии равном нулю;
- Гипотеза о коэффициенте линейного уравнения множественной регрессии равном нулю;
- Гипотеза о значимости линейного уравнения регрессии;
- Гипотеза о значимости линейного уравнения множественной регрессии;
- Гипотеза о коэффициенте корреляции равном числу;
- Гипотеза о коэффициенте корреляции равном нулю;
- Гипотеза о равенстве коэффициентов корреляции.