Извлечение корня n-ой степени из комплексного числа
Перейти к навигации
Перейти к поиску
Извлечение n-ой степени из комплексного числа — это нахождение всех (n) комплексных чисел (корней), n-я степень которых равна заданному числу.
Обозначения[править]
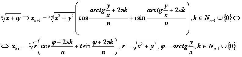
x — действительная часть (абсцисса) числа;
y — мнимая часть (ордината) числа;
r — модуль комплексного числа;
φ — аргумент комплексного числа;
n — степень для извлечения корней из числа;
x+iy — комплексное число.
Формула[править]
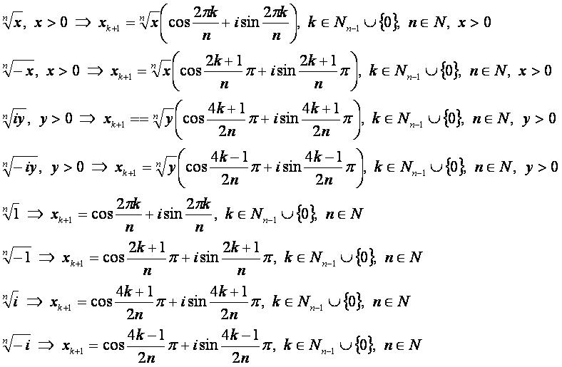
Примеры:[править]
Другие операции:[править]
- сложение чисел;
- вычитание чисел;
- умножение чисел;
- деление чисел;
- обращение числа;
- возведение в степень;
- извлечение квадратного корня;
- извлечение кубического корня;
- извлечение корня n-ой степени;
- логарифмирование числа;
- возведение в комплексную степень;
- тригонометрические функции комплексных чисел;
- гиперболические функции комплексных чисел;
- взятие комплексно сопряжённого числа;
Литература[править]
- Корн Г., Корн Т. Справочник по математике для научных работников и инженеров. М.: Наука, 1970, стр.36.