Точка прямой, находящаяся перед первой точкой прямой до второй в данном отношении
Перейти к навигации
Перейти к поиску
Точка прямой, находящаяся перед первой точкой прямой до второй в данном отношении, — это точка вне отрезка прямой между точками прямой.
Обозначения[править]
- — радиус-вектор искомой внешней точки прямой;
- — радиус-вектор первой точки прямой;
- — радиус-вектор второй точки прямой;
- — уравнение прямой, проходящей через две точки;
- Невозможно разобрать выражение (Ошибка преобразования. Сервер («https://wikimedia.org/api/rest_») сообщил: «Cannot get mml. Server problem.»): {\displaystyle p_{1}:p_{2}} — отношение меньше 1, т. е. .
Рисунок[править]
Формулы[править]
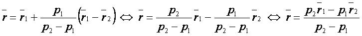
Векторная форма[править]
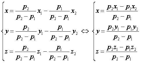
Координатная форма[править]
- Заметим, что формулы точки прямой, находящейся перед первой точкой прямой до второй в данном отношении, являются аналогом формул точки прямой, находящейся от первой точки прямой до второй в данном отношении, при этом числитель отношения меняет знак.
Другие точки:[править]
- проекция точки на прямую;
- проекция точки на плоскость;
- основание перпендикуляра из точки к прямой;
- основание перпендикуляра из точки к плоскости;
- точка пересечения перпендикуляра к двум прямым с первой прямой;
- точка пересечения перпендикуляра к двум прямым со второй прямой;
- точка пересечения прямой и плоскости;
- точка пересечения трёх плоскостей;
- точка, равноудалённая от двух прямых;
- точка, равноудалённая от четырёх точек;
- точка деления отрезка в данном отношении;
- точка прямой, находящаяся от первой точки прямой до второй в данном отношении;
- точка прямой, находящаяся перед первой точкой прямой до второй в данном отношении;
- точка прямой, находящаяся от первой точки прямой за второй в данном отношении.